3033
2021-10-13
颗粒在线讯:碳纳米管具有优异的电学、光学和力学性质,是科学界最引人关注的光电功能纳米材料体系,在纳米电子学和光电子学领域具有重要的应用价值和前景。碳纳米管作为可饱和吸收体应用在超快激光器中,为各种复杂非线性现象提供稳定的研究平台。
超快激光源具有脉宽窄、峰值功率高、脉冲能量大等特点,在精密测量和探测、通讯与信息处理、3D打印、以及超快光学诊断等方面有广泛的应用价值。谐波锁模是产生高重频超短脉冲的一项重要技术之一。但孤子的启动、谐波的产生以及如何实现自稳定一直是科研领域的研究热点,基于时间拉伸色散傅里叶变换(TS-DFT)技术为以上超快现象的实时单次测量提供的思路。
浙江大学刘雪明教授使用TS-DFT技术,以碳纳米管作为可饱和吸收体,对无源谐波锁模的形成动力学过程进行了深入研究。相关研究成果,2019年发表在Laser & Photonics Reviews上,并被选做Back Cover。

刘雪明教授课题组对光纤飞秒激光器进行了深入的研究,利用集成化的光学器件、性能优越的锁模器、以及合理设计的驱动电路,研制出了实用性强的光纤超快激光器系列产品。该系列产品不仅几何尺寸小,而且性能稳定,实际应用潜力大。近日,该课题组研制的超快光纤激光器产品尺寸已突破到6英寸手机的三分之一,几何尺寸为75×55×15 mm3。同时,该激光器产品具有高稳定性,对环境不敏感,抗干扰能力强,可长期稳定工作,无需维护,只需插上220V电源即可使用,一键式开启工作,且便于携带。

微型掌上光纤飞秒激光器产品实物图
(a) 与华为Mate 7手机尺寸对比,(b) 整套激光器
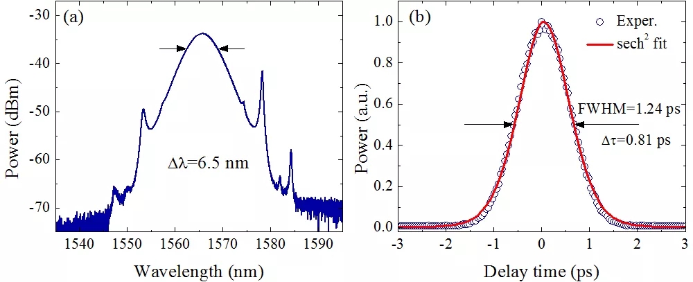
截至目前,该课题组已开发出三种超快光纤激光器系列产品:传统孤子、耗散孤子、以及高重复频率超快光纤激光器。(1) 传统孤子超快光纤激光器:中心波长~1560 nm,光谱宽度6~10 nm可调,重复频率~30 MHz, 脉冲宽度0.1~1 ps,中心波长为1565.7 nm,谱宽6.5 nm,脉宽810 fs,重频32.7 MHz。

传统孤子超快光纤激光器输出特征:(a) 光谱,(b) 自相关曲线
(2) 耗散孤子超快光纤激光器:中心波长~1560 nm,光谱宽度10~20 nm可调,重频~20 MHz,脉宽可压缩至200 fs以下,中心波长1561 nm,谱宽17.5 nm,脉宽4.59 ps(压缩后180 fs),重频17.2 MHz。

耗散孤子超快光纤激光器输出特征:(a) 光谱,(b) 自相关曲线
(3) 高重复频率超快光纤激光器:中心波长~1570 nm,谱宽~8.5 nm,脉宽760 fs,重频~110 MHz,信噪比~60 dB。

高重复频率超快光纤激光器输出频谱:(a) 基频,(b) 大量程
版权与免责声明:
(1) 凡本网注明"来源:颗粒在线"的所有作品,版权均属于颗粒在线,未经本网授权不得转载、摘编或利用其它方式使用上述作品。已获本网授权的作品,应在授权范围内使用,并注明"来源:颗粒在线"。违反上述声明者,本网将追究相关法律责任。
(2)本网凡注明"来源:xxx(非颗粒在线)"的作品,均转载自其它媒体,转载目的在于传递更多信息,并不代表本网赞同其观点和对其真实性负责,且不承担此类作品侵权行为的直接责任及连带责任。其他媒体、网站或个人从本网下载使用,必须保留本网注明的"稿件来源",并自负版权等法律责任。
(3)如涉及作品内容、版权等问题,请在作品发表之日起一周内与本网联系,否则视为放弃相关权利。