2433
2021-10-18
颗粒在线讯:锂离子电池(LIBs)目前仍然受限于温度的影响,在低温时主要面临充电以及快速充电的问题,高温时LIBs的循环稳定性仍待解决。低温条件下主要归因于电极、电解液和固体电解质界面(SEI)内的Li+ 扩散速率缓慢,这对 LIBs 在低温下的快速充电构成了重大障碍。此外,由于石墨负极的工作电位低导致其在零下温度时内阻增大,由此引起的电位极化使得锂容易析出,导致充电容量小,无法充电,甚至存在安全隐患。高温条件下,负极在高温下循环能力不佳主要是由于电解质的不稳定性增加,其中SEI 无法避免在高电位下被电解液氧化分解,导致电极循环的不稳定和电解液的快速消耗。因此,为了在较宽的温度下实现良好的性能,LIBs 中的电极材料需要在零下温度具有良好的 Li+电导率,并在高温度下也具有稳定的 SEI。
基于此,华南理工大学的朱敏和胡仁宗介绍了一种新型的 SnO2-LiF-石墨(SLG)三元复合材料被用于高低温下锂离子电池的负极。其中SnO2由于在低温下存在从 β-Sn 到 α-Sn 的多晶相转变,因此在低温下具有优异的锂离子扩散动力学。少量的 LiF 添加剂有望支持优异的 Li+ 扩散,并在负极表面形成稳定的无机为主的 SEI 层,这有利于承受循环过程中负极材料的体积膨胀。石墨为电荷转移过程提供高电子导电性,并与稳定的 SEI 层一起作为屏障,防止Sn相的聚集和粗化。以上优势使得SLG负极在碳酸丙烯酯电解质(1 M LiFP6 in EC:PC:EMC=1:1:8 vol% with 5wt% FEC)时,在电流密度100 mA g-1和 60°C温度条件下提供超过 900mAh g-1的稳定容量;在 -10°C时保持了 823.9 mAh g-1的容量。当使用基于四氢呋喃的电解质(LiPF6-THF/2Me-THF)时,SLG负极在 -40°C 和 -50°C 温度下仍然能够分别提供780.4和637.2 mAh g-1 的容量。相关论文以题为“LiF-Induced Stable Solid Electrolyte Interphase for a Wide Temperature SnO2-Based Anode Extensible to -50°C”发表在Advanced Energy Materials。

具体来说,作者通过球磨法,将含有 2.88 g SnO2、1 g 石墨和0.12 g LiF的混合粉末以7.2:2.5:0.3 的重量比在纯氩气环境下研磨成均匀的 SnO2 -LiF-G 复合物。球磨的条件为:球:粉重量比25:1并在 1200 rpm 下进行20 小时。这项工作表明,基于SnO2 的负极材料可以使锂离子电池在全天候温度下安全、长寿命地运行,尤其有助于进一步推广于具有优异性能的低温充电能力的电池。(文: Navigator)

图1. a) 初始充放电曲线,b) 初始充电时的脱转化反应/脱合金反应容量比,以及 c) SnO2、研磨SnO2和 SnO2 -LiF 杂化物的初始库仑效率LiF 含量;d)具有不同 LiF 含量的 SnO2、研磨SnO2、SnO2 -G 和 SnO2 -LiF 混合物的循环性能。

图2. a) SLG 和未研磨的 SnO2 -LiF-石墨混合粉末的XRD 图,b) Sn 3d 和 c)SLG 复合材料的 F 1s 光谱;d) SEM、e) TEM、f) SAED 和 g)SLG 复合材料的 HRTEM 图像;h,i) SLG 复合材料的 HAADF 和 EDS 元素映射图像。

图3. a) SLG电极在30°C下不同电流速率下的循环稳定性;b)SLG 电极在 30、45 和 60 °C 下的循环稳定性;c)SnO2、SnO2 -LiF 3.0 wt% 和 SLG 电极在不同温度下的库仑效率;d) SLG 电极在 30、45 和 60 °C 下的微分容量与电位曲线;e) 对于在45 和 60 °C 下运行的 SLG 电极,可逆容量与循环次数的关系在不同电压区间 0.01-1.0 V 和 1.0-3.0 V

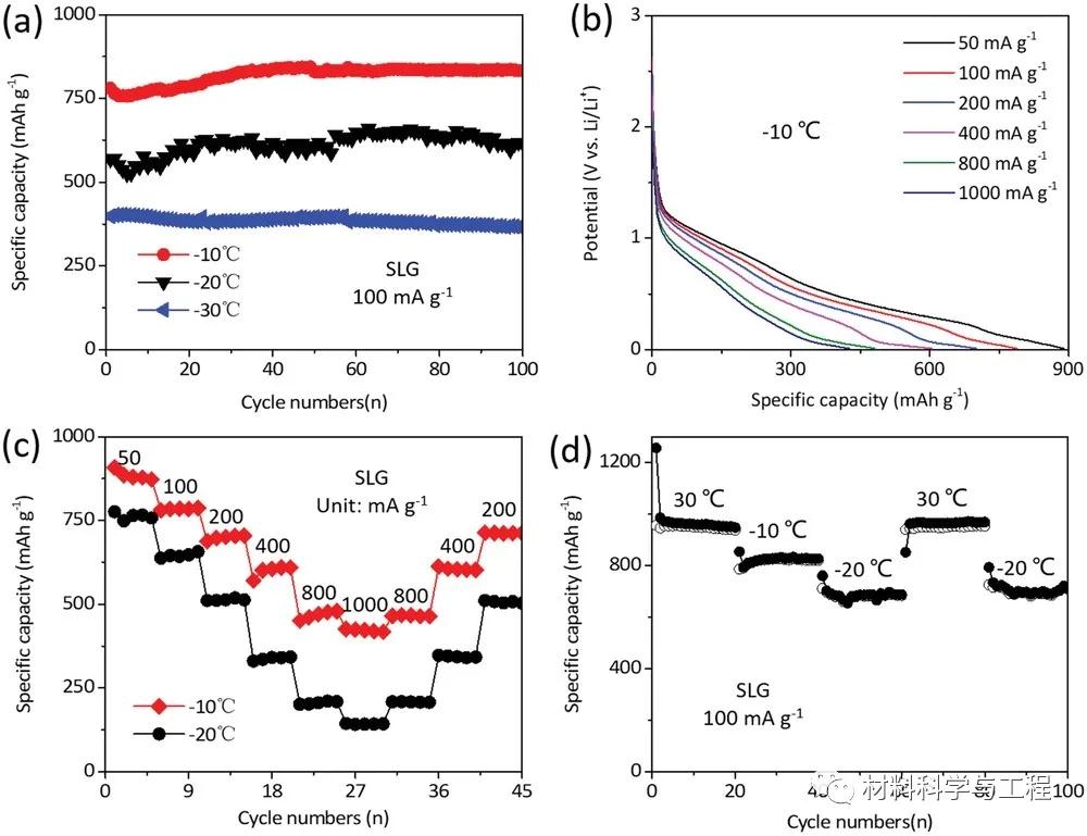
图4. a) SLG电极在-10、-20和 -30°C下的循环性能;b) SLG电极在 -10℃下不同倍率的放电曲线。c) SLG 电极在 -10 和 -20 °C 下的倍率性能;d)SLG 电极在 30 至 -20 °C 和 100 mA g-1 的连续温度变化下的充电和放电容量。

图5. a,b) 在 30 和 -20°C 的初始循环期间,SLG 的原位 XRD 轮廓和相关的充电/放电曲线;c) SLG电极在 -20°C和加热至30°C后在1.0 V电压下完成的原位XRD测试;d)SLG电极在-10°C下在纽扣电池中循环50次和100次后,在1.0 V电压下的非原位XRD图谱。

图6. a-c) SnO2、SLG电极在不同温度下循环后的FTIR光谱、Li 1s和C 1s光谱;d-f)SLG 电极在 45、30 和 -20°C 下循环后的 HRTEM 图像。

图7. a) SLG||LFP 和 b) 石墨||LFP 全电池在 30、-10、-20 和 -30°C 下的充电曲线;c) SLG||LFP全电池在 -10℃ 和 -20℃ 不同倍率下的充电曲线;d) SLG||LFP 全电池在-20、-10和30°C 下的循环性能。

图8. a) SLG电极在不同电解液和温度下的放电曲线;b) SLG电极与THF基电解质在 -10、-30和 -50℃ 下的循环性能;c)SLG 电极与 THF 基电解质在 -50°C 下的倍率性能;d) SLG 在不同温度下的容量保持率和其他报道的低温负极材料的对比。
版权与免责声明:
(1) 凡本网注明"来源:颗粒在线"的所有作品,版权均属于颗粒在线,未经本网授权不得转载、摘编或利用其它方式使用上述作品。已获本网授权的作品,应在授权范围内使用,并注明"来源:颗粒在线"。违反上述声明者,本网将追究相关法律责任。
(2)本网凡注明"来源:xxx(非颗粒在线)"的作品,均转载自其它媒体,转载目的在于传递更多信息,并不代表本网赞同其观点和对其真实性负责,且不承担此类作品侵权行为的直接责任及连带责任。其他媒体、网站或个人从本网下载使用,必须保留本网注明的"稿件来源",并自负版权等法律责任。
(3)如涉及作品内容、版权等问题,请在作品发表之日起一周内与本网联系,否则视为放弃相关权利。