2995
2021-11-25
颗粒在线讯:随着全球范围水污染问题日益严重,清洁淡水短缺已经成为全球性的紧迫难题之一。水中的污染物和细菌也会传播疾病,危害人体健康。因此,研发可持续的绿色高效处理方法将海水和被污染的水转变为清洁水已成为科研工作者的当务之急。
纳米催化剂具有高比表面积、高活性和优异的催化性能,广泛应用于多种化学反应以及有机污染物的催化降解。但是,纳米催化剂的应用也存在一些难题,例如,在催化反应结束后将催化剂纳米颗粒从反应液相体系中分离回收困难,耗时且成本高,并且反复循环使用易造成催化剂纳米颗粒团聚,使催化活性降低。另外,水中存在的细菌等微生物易粘附在纳米催化剂表面,造成生物污垢,导致其水处理能力和效率严重降低。
太阳能是一种清洁的可持续能源,对太阳能的高效利用是一个热点研究领域,也是发展清洁可持续能源的一个很有前途的发展方向。目前研究的一个热点是利用光热转换材料构建太阳能水蒸发器,以便实现太阳能驱动的水净化和海水淡化。但是,存在的难题是很多光热转换材料的能量损耗严重、水蒸发效率低以及盐沉积堵塞水输运通道等,这些问题大大降低了太阳能的利用效率和水净化效率。
具有独特结构和优异性能的天然植物为科研工作者研制先进的仿生功能材料提供了多重灵感。例如,树的水输运和蒸腾作用是一个自然过程,树可以通过自己发达的根系从土壤中吸收水分和营养物质,水分和营养物质从树的根部经过树干向树枝和树叶输送并且蒸发为水蒸汽散发到空气中,树干内的垂直有序排列的通道有助于水和营养物质的输运。树的水输运和蒸腾作用能够为整个树的各个部分提供充足的水分和营养物质,还可以降低树叶的温度以保护树叶不会因阳光照射温度过高而被灼伤。
气凝胶是一种具有优异性能的功能材料,具有超轻、高孔隙率和多孔网络结构。然而,大多数气凝胶具有不规则和无序的多孔结构,不利于通过毛细作用的快速水输运。具有仿生有序排列垂直孔道结构的气凝胶,具有吸附性能好、流动阻力低、水输送畅通快速等优势。因此,仿生有序排列垂直孔道结构气凝胶在构建高性能太阳能水蒸发器方面具有良好的应用前景。
最近,中国科学院上海硅酸盐研究所朱英杰研究员团队在天然树木的独特结构及水输运和蒸腾作用的启发下,通过冰模板诱导的自组装方法,研制出基于羟基磷灰石超长纳米线的多功能仿生有序排列垂直孔道结构气凝胶。在本研究中,羟基磷灰石超长纳米线作为载体负载并固定钯催化剂纳米颗粒,并与壳聚糖相互作用共同自组装构建有序排列垂直孔道结构的多功能仿生气凝胶。该多功能仿生气凝胶具有类似于树干内部有序平行排列的孔道结构,还具有连通的蜂窝结构、羟基磷灰石超长纳米线交织形成的网络孔壁和均匀分布的钯催化剂纳米颗粒。所制备的多功能仿生气凝胶可实现连续流动催化降解、水的杀菌消毒、太阳能驱动水净化和海水淡化。在仅由重力驱动的多种有机污染物水溶液连续流动催化降解过程中,该多功能仿生气凝胶表现出高的催化活性、高的水通量以及多次循环使用的高稳定性。在处理含大肠杆菌/金黄色葡萄球菌的污染水以及自然河流收集水样过程中,该多功能仿生气凝胶表现出高的去除效率和优异的抗生物粘附污染性能。结合其优异的光热转换性能、热量局域和有序排列垂直孔道结构,所制备的多功能仿生气凝胶在太阳光照射条件下表现出高的水蒸发效率、优异的太阳能驱动污水净化和海水淡化性能。此外,多功能仿生气凝胶还表现出优异的抗盐沉积性能,可以多次循环使用和长时间使用。另外,还采用多功能仿生气凝胶对东海附近的真实海水样品进行了太阳能驱动海水淡化测试,海水淡化后收集得到的纯净水中五种主要离子(Na+、Mg2+、K+、Ca2+和B3+)的浓度降至低于1 毫克/升,可满足世界卫生组织(WHO)和美国环境保护署(EPA)的饮用水标准。本研究工作表明所研制的多功能仿生气凝胶在催化反应、废水处理、海水淡化和环境工程等多个领域中具有良好的应用前景。

图1. 模仿树的结构和水输运与蒸腾行为,构建基于羟基磷灰石超长纳米线的有序排列垂直孔道结构多功能仿生气凝胶及其水净化示意图。(a) 具有有序排列垂直孔道结构的壳聚糖/羟基磷灰石超长纳米线/Pd纳米颗粒(CS/HAP@Pd)多功能仿生气凝胶的制备示意图。(b) 树的水输运与蒸腾行为。(c) CS/HAP@Pd多功能仿生气凝胶在重力驱动下连续流动催化中的应用和水杀菌消毒示意图。(d) CS/HAP@Pd多功能仿生气凝胶太阳能驱动水蒸发和水净化示意图。

图2. 羟基磷灰石超长纳米线固载钯催化剂纳米颗粒和有序排列垂直孔道结构的CS/HAP@Pd多功能仿生气凝胶的形貌和压力测试。(a, b) 负载Pd纳米颗粒的羟基磷灰石超长纳米线的透射电子显微(TEM)照片,(b)中插图显示了Pd纳米颗粒的粒径分布。(c) 负载Pd纳米颗粒的羟基磷灰石超长纳米线的Ca、P和Pd元素分布图。(d–g) CS/HAP@Pd多功能仿生气凝胶的表面(d–f)和垂直截面(g)扫描电子显微(SEM)照片。(h) CS/HAP@Pd多功能仿生气凝胶可根据应用需求制备成不同的形状和尺寸。(i) 使用200克的重物对CS/HAP@Pd多功能仿生气凝胶进行垂直和侧向压力试验,左下角的插图显示CS/HAP@Pd多功能仿生气凝胶在压力试验后完好无损。

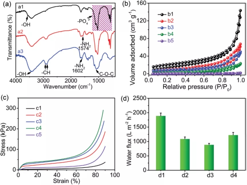
图3. 具有不同壳聚糖/羟基磷灰石重量比的有序排列垂直孔道结构CS/HAP@Pd多功能仿生气凝胶和对照样品的红外吸收光谱图、氮气吸附-脱附等温线、压缩应力-应变曲线和水通量测试。(a) 傅立叶变换红外吸收光谱:(a1) 负载Pd纳米颗粒羟基磷灰石超长纳米线,(a2) CS/HAP@Pd多功能仿生气凝胶,(a3) 壳聚糖。(b) 氮气吸附-脱附等温线:(b1) HAP@Pd气凝胶,(b2) CS/HAP@Pd多功能仿生气凝胶(1:4),(b3) CS/HAP@Pd多功能仿生气凝胶(1:2),(b4) CS/HAP@Pd多功能仿生气凝胶(1:1),(b5) 壳聚糖。(c) 压缩应力-应变曲线:(c1) HAP@Pd气凝胶,(c2) CS/HAP@Pd多功能仿生气凝胶(1:4),(c3) CS/HAP@Pd多功能仿生气凝胶(1:2),(c4) CS/HAP@Pd多功能仿生气凝胶(1:1),(c5) 壳聚糖。(d) 不同气凝胶样品在重力下的水通量:(d1–d3) 具有有序排列垂直孔道结构的气凝胶样品:(d1) CS/HAP@Pd多功能仿生气凝胶(1:4),(d2) CS/HAP@Pd多功能仿生气凝胶(1:2),(d3) CS/HAP@Pd多功能仿生气凝胶(1:1),(d4) 无序孔道结构CS/HAP@Pd气凝胶(1:4)。

图4. 具有有序排列垂直孔道结构CS/HAP@Pd多功能仿生气凝胶在重力驱动下连续流动催化降解亚甲基蓝水溶液的性能。(a) 测试设备的照片。(b) 连续流动催化前后含亚甲基蓝和硼氢化钠水溶液的紫外-可见吸收光谱,插图显示连续流动催化降解前后溶液的照片。(c) 含亚甲基蓝和硼氢化钠水溶液以不同流动时间流经CS/HAP@Pd多功能仿生气凝胶后,亚甲基蓝在过滤水溶液中的残留浓度以及催化降解效率。(d) 不同浓度的含亚甲基蓝和硼氢化钠水溶液的连续流动催化效率。(e) 含亚甲基蓝和硼氢化钠水溶液流经不同Pd含量的CS/HAP@Pd多功能仿生气凝胶后的连续流动催化效率。(f) 在不同流速下含亚甲基蓝和硼氢化钠水溶液流经CS/HAP@Pd多功能仿生气凝胶后的连续流动催化效率和相应的水通量。(g) 使用不同的壳聚糖/羟基磷灰石重量比的有序排列垂直孔道结构CS/HAP@Pd多功能仿生气凝胶样品在不同流速下对亚甲基蓝水溶液的连续流动催化效率。(h) 在多次循环使用实验条件下,CS/HAP@Pd多功能仿生气凝胶对亚甲基蓝和硼氢化钠水溶液的连续流动催化效率。(i) CS/HAP@Pd多功能仿生气凝胶对亚甲基蓝和硼氢化钠水溶液在10小时连续流动催化过程中的催化效率及其处理的水溶液体积。

图5. 具有有序排列垂直孔道结构CS/HAP@Pd多功能仿生气凝胶在重力驱动下高效过滤去除细菌及其抗生物污染性能。(a) 与CS/HAP@Pd多功能仿生气凝胶处理前后的细菌(大肠杆菌和金黄色葡萄球菌)悬浮液一起培养后的固体营养琼脂平板的照片。(b) 大肠杆菌和金黄色葡萄球菌的去除效率。(c) 采用不同气凝胶样品处理的大肠杆菌和金黄色葡萄球菌悬浮液不同培养时间在600 nm处测得的光密度值。(d) 采用不同气凝胶样品与大肠杆菌和金黄色葡萄球菌悬浮液共培养3天后的SEM照片。(e) 采集水样的两条当地河流的照片,与CS/HAP@Pd多功能仿生气凝胶处理前后的水样一起培养的固体营养琼脂平板的照片。(f) 二个河水样品的细菌去除效率。

图6. 具有有序排列垂直孔道结构CS/HAP@Pd多功能仿生气凝胶在1 kW/m2光功率密度的模拟太阳光照条件下的水蒸发、水净化和真实海水淡化性能。(a) 基于CS/HAP@Pd多功能仿生气凝胶的太阳能驱动水蒸发示意图。(b) 在太阳光照20分钟后CS/HAP@Pd多功能仿生气凝胶和CS/HAP气凝胶的红外热图像。(c) 在各种实验条件下不同气凝胶样品,纯水重量随太阳光照射时间的变化。(d) 含有结晶紫、刚果红和硼氢化钠水溶液在CS/HAP@Pd多功能仿生气凝胶太阳能驱动水处理前后的紫外-可见吸收光谱和相应的照片。(e) 含有大肠杆菌或金黄色葡萄球菌水悬浮液在太阳能驱动净化前后的细菌浓度以及共培养的固体营养琼脂平板的照片。(f) 采用CS/HAP@Pd多功能仿生气凝胶太阳能驱动处理真实海水样品前后五种主要离子的浓度比较;海水淡化后收集得到的纯净水中五种主要离子(Na+、Mg2+、K+、Ca2+和B3+)的浓度降至低于1 mg L−1,可满足世界卫生组织(WHO)和美国环境保护署(EPA)的饮用水标准。
版权与免责声明:
(1) 凡本网注明"来源:颗粒在线"的所有作品,版权均属于颗粒在线,未经本网授权不得转载、摘编或利用其它方式使用上述作品。已获本网授权的作品,应在授权范围内使用,并注明"来源:颗粒在线"。违反上述声明者,本网将追究相关法律责任。
(2)本网凡注明"来源:xxx(非颗粒在线)"的作品,均转载自其它媒体,转载目的在于传递更多信息,并不代表本网赞同其观点和对其真实性负责,且不承担此类作品侵权行为的直接责任及连带责任。其他媒体、网站或个人从本网下载使用,必须保留本网注明的"稿件来源",并自负版权等法律责任。
(3)如涉及作品内容、版权等问题,请在作品发表之日起一周内与本网联系,否则视为放弃相关权利。