2374
2021-12-01
颗粒在线讯:批到批(B2B)和卷到卷(R2R)工艺均可用于石墨烯薄膜的大规模生产。由于设备简单,B2B工艺在实验室研究中非常普遍。相对而言,R2R工艺更容易自动化,并且与随后的转移过程更兼容,因此在工业上更受青睐。目前,对R2R工艺的研究主要集中在反应器设计或装料结构等方面,对石墨烯生长动力学缺乏深入的了解。

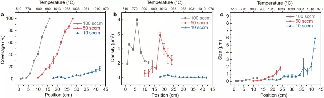
近日,电子科技大学李雪松教授等人在SCIENCE CHINA Materials发表研究论文,通过研究石墨烯的生长演化过程,发现在相同的反应参数下,R2R工艺的石墨烯晶畴密度大于B2B工艺的石墨烯畴密度,其原因归结于两种工艺不同的反应过程;而通过延长反应时间,可以对石墨烯薄膜的缺陷进行修复。在优化的R2R工艺下,可以获得与常规B2B工艺相当的高质量石墨烯薄膜。

图1 不同流速下,石墨烯的生长演化过程。
本工作可促进石墨烯薄膜制备技术的发展。
版权与免责声明:
(1) 凡本网注明"来源:颗粒在线"的所有作品,版权均属于颗粒在线,未经本网授权不得转载、摘编或利用其它方式使用上述作品。已获本网授权的作品,应在授权范围内使用,并注明"来源:颗粒在线"。违反上述声明者,本网将追究相关法律责任。
(2)本网凡注明"来源:xxx(非颗粒在线)"的作品,均转载自其它媒体,转载目的在于传递更多信息,并不代表本网赞同其观点和对其真实性负责,且不承担此类作品侵权行为的直接责任及连带责任。其他媒体、网站或个人从本网下载使用,必须保留本网注明的"稿件来源",并自负版权等法律责任。
(3)如涉及作品内容、版权等问题,请在作品发表之日起一周内与本网联系,否则视为放弃相关权利。