4341
2022-01-10
颗粒在线讯:有机铁磁体以其柔韧性、可低温合成、低密度和生物相容性等优点逐渐取代了传统的磁体。然而,在仅由碳、氢、氧和氮组成的有机材料中,室温铁磁性以及半导体特性迄今为止还没有发现,高居里温度纯有机磁体的研制仍然是材料科学领域的一项艰巨任务。
有鉴于此,近日华南理工大学马於光院士、张弜副教授等采用溶剂热法还原和溶解苝二酰亚胺(PDI)晶体,制备了自组装PDI纳米棒。通过磁性测量证实了有机半导体具有前所未有的室温铁磁性。由于有机材料中可忽略的自旋轨道耦合和较长的自旋寿命,作者认为这一结果将对室温磁半导体的实现和应用有一定的指导意义。该研究以题为“Room-temperature Ferromagnetism in Perylene Diimide Organic Semiconductor”的论文发表在最新一期的《Advanced Materials》。

【PDI的制备及结构表征】
研究者首先利用过量水合肼的溶剂热法对升华后的PDI晶体进行了还原和溶解处理。冷却后得到紫色悬浮液,随后在手套箱中加热制备PDI粉末。作者分别通过紫外可见吸收(UV-Vis)光谱、顺磁共振(EPR)光谱、扫描电子显微镜(SEM)及x射线衍射(XRD)光谱等方式对PDI结构进行表征。
其中,UV-Vis光谱在554 nm处的主要吸收峰表明PDI阴离子在悬浮液中占主导地位。EPR光谱对PDI粉末中自由基阴离子形成的研究,发现在g=2.003附近观察到一个较强的共振信号,该信号来源于未配对电子,清楚地表明氧化后自由基阴离子急剧增加。PDI粉末的SEM照片表明其紧密堆叠的50-60 nm宽的自组装纳米棒的微观形态。PDI粉末XRD测试结果中26.9º附近的峰可被索引为(12),对应为π-π堆叠,计算距离为3.30 Å。考虑到PDI被电离,π-π堆叠在还原过程后保持闭合是必要的。

图1 结构表征
【PDI粉体的磁性能】
这项工作中的自由基阴离子自掺杂方法是通过封闭壳层的二价负离子自发氧化过程进行的,这与通过还原过程获得自由基的策略不同。这种方法合成的PDI自组装聚集体的特点是π-π堆积距离近和自由基阴离子浓度大,这可能会导致自由基之间产生强烈的自旋交换相互作用,最终形成铁磁有序。
振动样品磁强计对PDI半导体的磁性特性的研究发现,在10k和300k处记录的磁化-磁场(M-H)曲线显示了典型的铁磁滞回线。在1.5 kOe时,磁饱和;在300 K时矫顽力达到160 Oe。在300 K提取的饱和磁化强度为~1.2 emu·g−1,这在有机磁体中的较大值同时也远远超出了36 K的倾斜铁磁体,以及最近报道弱在非晶态铁磁物质聚合TCNQ,1,3,5-均三嗪连接的多孔有机自由基骨架。
此外,10 K到400 K温度范围内的磁滞回线测量和矫顽力场(Hc)的温度依赖性表明DPI在室温以上为铁磁性。磁场为100 Oe时,零场冷却(ZFC)和场冷却(FC)条件下磁化的温度依赖性研究显示,ZFC与FC图从400 K开始分叉,说明铁磁PDI粉末的Tc值在400 K以上。纯有机磁体的饱和磁化强度与Tc的关系显示室温下PDI铁磁体在Tc和饱和磁化两侧均占优势,预示着未来与无机铁磁材料相当的潜力。PDI铁磁粉的磁响应可以通过强永磁体的吸引效应生动地表现出来。

图2 PDI粉体的磁性能
【铁磁性来源验证】
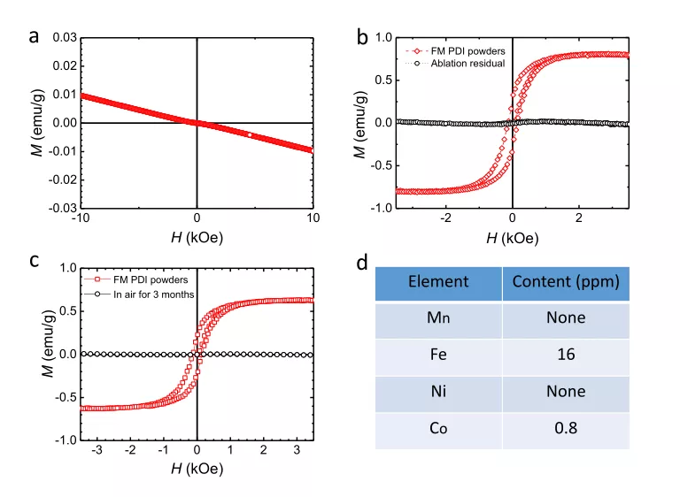
为证明铁磁信号来自于还原和空气氧化过程。作者对PDI原料及微量金属污染物的磁性进行研究。结果表明PDI原料的M-H线性曲线表现出抗磁特性。对室温饱和磁化强度为0.8 emu·g−1的样品在空气中进行烧蚀实验,M-H曲线结果表明,烧蚀后样品的铁磁性消失,烧蚀后的残余具有较弱的抗磁性。从而排除了样品的铁磁性来源于铁磁性金属或其氧化物的可能性。
研究者还发现,在大约3个月后,当样品持续暴露在空气中,铁磁性转变为抗磁性。由于自由基的天然化学活性,以往报道的有机铁磁晶体通常是不稳定的,如TDAI-C60,在偶然暴露于空气中几秒钟后,会完全失去磁性与这种低Tc有机铁磁粉相比,铁磁粉PDI在空气中的稳定性更高。通过对大量的样品进行粒子诱导x射线发射(PIXE)光谱测量,结果显示样品中的磁性金属杂质不足以诱导铁磁信号。以上实验结果均表明所观察到的铁磁性本质上来自PDI自由基晶体。

图3 铁磁(FM) PDI粉末的磁性演变及金属杂质元素分析
【PDI铁磁体的半导体性能】
为了研究样品的半导体性能,研究者在300 K下测量了DPI电阻和霍尔系数的温度依赖性。用于测量的器件采用六接触霍尔杆的几何形状,霍尔器件的光学显微镜图像如图4a所示。电阻-温度曲线结果显示了PDI典型的半导体特性,其室温下电阻率为~1.6 Ω·cm。根据Arrhenius方程对温度相关的电阻数据进行了拟合,得到其活化能为~72.54 meV。负霍尔电压(VH)与外加磁场呈线性关系。在300K时,PDI霍尔迁移率为~0.5 cm2·V−1·s−1。结合所观察到的铁磁性,这种PDI自由基晶体具有实现室温磁性半导体的巨大潜力。

图4 PDI铁磁体的半导体性能
【小结】
综上所述,具有高迁移率的苝二亚胺(PDI)有机自由基半导体具有室温铁磁性。PDI铁磁体居里温度大于400 K,饱和磁化强度大于1 emu·g−1。这为室温磁半导体的实现开辟了一条新的途径。有机半导体,特别是具有亚稳态自由基和紧密堆积结构的开壳多环烃,是一种很有前途的室温铁磁体候选材料。这种新材料将有助于研究有机半导体中的基本自旋行为,并为探索纯有机自旋器件等应用提供手段。
原文链接:https://doi.org/10.1002/adma.202108103
版权与免责声明:
(1) 凡本网注明"来源:颗粒在线"的所有作品,版权均属于颗粒在线,未经本网授权不得转载、摘编或利用其它方式使用上述作品。已获本网授权的作品,应在授权范围内使用,并注明"来源:颗粒在线"。违反上述声明者,本网将追究相关法律责任。
(2)本网凡注明"来源:xxx(非颗粒在线)"的作品,均转载自其它媒体,转载目的在于传递更多信息,并不代表本网赞同其观点和对其真实性负责,且不承担此类作品侵权行为的直接责任及连带责任。其他媒体、网站或个人从本网下载使用,必须保留本网注明的"稿件来源",并自负版权等法律责任。
(3)如涉及作品内容、版权等问题,请在作品发表之日起一周内与本网联系,否则视为放弃相关权利。