3077
2022-02-18
颗粒在线讯:钙钛矿及其衍生材料中由于存在电荷、自旋、轨道和晶格多重自由度,从而呈现出丰富的物理现象,是物质科学和材料技术的重要载体。其中,在Pb/Bi基钙钛矿材料中,由于Pb2+/Bi3+存在6s2孤对电子,使得含有这些离子的材料容易形成非中心对称的晶体结构,从而出现压电、介电、铁电和非线性光学等效应。常见的钙钛矿具有ABO3构型,称为简单钙钛矿,其中A为半径较大的离子,B为小尺寸过渡金属离子,在常规条件形成钙钛矿结构的尺寸关系由容忍因子t限定。
除此之外,若将简单钙钛矿B位的1/2由另一种过渡族离子取代,则会衍生出B位有序钙钛矿A2BB'O6。在这类钙钛矿材料中,由于B'位可同时容纳过渡金属离子,从而产生了B'-B'和B'-B等多重相互作用,进而诱发出奇异的物理性质。上述多阶有序钙钛矿材料中,由于多种过渡金属阳离子的引入,往往使得材料的晶体结构发生较大畸变,通常无法在常规条件下制备出来。高压高温合成技术可以稳定特殊结构,形成奇异化合价态,拓宽固溶度等。近年来,随着高压极端条件合成实验技术的发展,由多个简单钙钛矿有序形成的多阶钙钛矿材料得到长足发展。
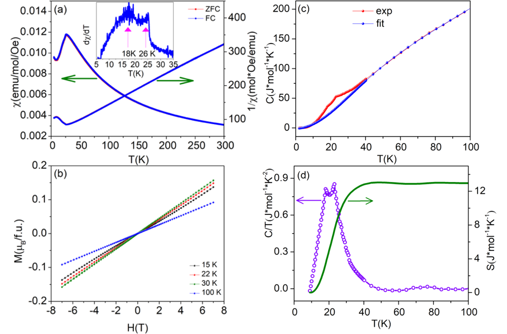
中国科学院物理研究所/北京凝聚态物理国家研究中心靳常青团队长期开展新兴功能材料的设计和高压极端条件研制,通过高压技术创新,设计并研制了多种含有钙钛矿结构基元的新兴功能材料 (Nature 375, 301(1995); Phys. Rev. Lett. 96, 46408 (2006); PNAS 105, 7115(2008); Chem. Mater. 30, 7047 (2018); PNAS 116, 12156 (2019); Angew. Chem. 59, 8240(2020); Nat. Commun. 12, 1917 (2021); Nat. Commun. 12, 747 (2021))。近期,靳常青研究员团队的赵建发博士和于润泽教授合作,运用先进的高压合成技术成功的研制了B位有序钙钛矿材料Pb2NiMoO6(简称PNMO)。对常压回收样品的晶体结构解析表明,PNMO在室温条件下呈现单斜Pc(No.7)空间群,变温X射线衍射揭示,在400 K左右PNMO发生了非中心对称(Pc)到中心对称(Fm-3m)的晶体结构相变。会聚束电子衍射(CBED)证实PNMO室温晶体结构是非中心对称空间群,X射线衍射精修结果表明,PNMO中的NiO6和MoO6存在严重畸变。X射线吸收谱结果显示,PNMO的价态分布为Pb2+2Ni2+Mo6+O6,A位Pb2+呈现6s2电子组态,存在孤对电子效应。磁性和比热测量结果表明,PNMO在18和26K存在反铁磁转变。PNMO的磁性由磁性离子Ni2+通过Ni2+-O-Mo6+-O-Ni2+超交换相互作用主导。严重的晶体结构畸变使得Ni/Mo-O键长和∠Ni-O-Mo键角 (≈ 157.4°-170.4°)呈现多种变化,从而出现磁相互作用的竞争。B位有序钙钛矿Pb2NiMoO6有两个显著特点:(1)晶体结构对称性低,空间群仅为非中心对称单斜Pc;(2)反铁磁转变温度低,TN 26 K。以上结果表明孤对电子效应对材料的构效关系存在直接影响,这对寻找和设计具有立体化学活性离子的新型功能材料具有指导意义。
相关研究成果发表在近期的Chemistry of Materials 34, 97-106(2022)上(IF 8),研究工作得到了德国马普所Z.W. HU教授、美国Rutgers大学Greenblatt教授、物理所董成研究员和禹日成研究员等多个团队在结构表征、价态探测等方面的密切合作。该工作得到了科技部、国家自然科学基金极端条件新物态创新群体项目和北京市自然科学基金等项目的支持。

高压制备的多阶钙钛矿新材料Pb2NiMoO6和温度诱导晶体结构相变

图1.(a) 晶体结构示意图; (b) NiO6和MoO6八面体示意图

图2. 基于X射线吸收谱的Pb2NiMoO6价态表征

图3. Pb2NiMoO6磁性和比热
来源:中国科学院物理研究所 北京凝聚态物理国家研究中心
上一篇: 能愈合的智能变色材料问世
下一篇: 氨的加速合成为可再生能源的转化提供了前景
版权与免责声明:
(1) 凡本网注明"来源:颗粒在线"的所有作品,版权均属于颗粒在线,未经本网授权不得转载、摘编或利用其它方式使用上述作品。已获本网授权的作品,应在授权范围内使用,并注明"来源:颗粒在线"。违反上述声明者,本网将追究相关法律责任。
(2)本网凡注明"来源:xxx(非颗粒在线)"的作品,均转载自其它媒体,转载目的在于传递更多信息,并不代表本网赞同其观点和对其真实性负责,且不承担此类作品侵权行为的直接责任及连带责任。其他媒体、网站或个人从本网下载使用,必须保留本网注明的"稿件来源",并自负版权等法律责任。
(3)如涉及作品内容、版权等问题,请在作品发表之日起一周内与本网联系,否则视为放弃相关权利。