3372
2022-05-06

颗粒在线讯:背景介绍
微生物技术的发展有利于将微藻生物质视为第三代生物能源生产的生物质原料。将废水作为微藻的培养基具有显著的优势,不仅能降低运营成本,还能进一步处理废水。然而,废水的营养成分具有较大的差异,微藻生长需要的关键营养元素可能完全不存在,因此需要调节废水的营养成分,作为适宜微藻生长的培养基。在微藻生物质利用的多种方法中,热解方法被认为是一种最有效的方法用于微藻生物质的能量转化。研究利用废水进行微藻生物质生长的最佳方法,以及适当的热解条件,可能有利于最终生物燃料的质量。从微藻在调整后的废水中生长到最终的热解和产品精炼,整个过程中生命周期评估的利用对于探索和实现减少环境影响的新技术应用具有特别重要的意义。
基于此,英国克兰菲尔德大学Tao Lyu教授等人设计了一种精确的废水调节方法(根据特定水质添加营养),以提高微藻生物燃料的生产。并研究了微藻热解温度与生命周期评价相结合,评估了整个过程的环境影响,确认所研究方法的可持续性。其模式流程图如图1。该结果对于进一步开发此类废水改性和过程控制策略具有重要意义,对生产高质量的微藻生物燃料具有指导作用。

图1. 生命周期评价流程图
图文解读
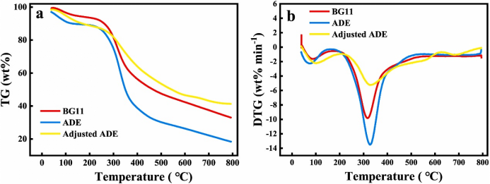
热重法作为热解过程研究中广泛应用的参数,通常用来表征微藻生物质热解过程中的热分解速率。藻类热解的三个阶段如图2,包括水分散失阶段(不高于150℃),碳水化合物、蛋白质和脂质的降解阶段(不高于550℃)和碳化阶段(高于550℃)。

图2.热解过程的热重和衍生热重分析
从微藻热解中获得的产品很大程度上取决于培养介质的化学状态和热解温度。在所有热解产物中,脂肪烃、芳香烃、脂肪酸和一些痕量化合物,例如苯酚,被认为是具有经济价值的产物。如图3a,调节废水培养出的微藻热解产品中,藻类脂肪烃的含量高于其他两种培养基。在较低的温度(300-400℃)下,高值化合物(例如脂肪烃和脂肪酸)的产量最高。而在较高的温度(高达800℃),其高值品芳烃和脂肪酸的产量增加。然而,与在BG11(10.82%)和厌氧消化未调节废水(8.33%)培养基中培养的样品相比,调节废水培养的微藻生物质热解产物中PAHs含量 (7.09%)较低,如图3b。

图3. BG11培养基、厌氧消化流出物和调整的厌氧消化流出物培养的微藻生物质的热解产物,a) 有价值的化合物,和 b) 有毒化合物(A:调节废水的流出;O:原始的废水;B:BG11)。
生命周期评估
作为研究的边界,作者的生命周期评估考虑了微藻培养、收获和生物质热解的过程。对于三种不同培养基培养的微藻,其收获过程的能量消耗比例最大,如图4。直接使用沼液作为培养基,比BG11培养基相比,可将总能源消耗从20331.5 MJ降低到17489.9 MJ。而使用调节后的废水进行培养微藻,能进一步降低能耗,可将总能耗至12314.2 MJ。

图4. 能源消耗分布
与此同时,还评估了对环境的影响,包括全球变暖潜能值、酸化、富营养化和光化学氧化合成。调节后的沼液废水的1kg微藻生物质的热解产物在所有四个所选参数中产生的总体环境影响较低,因此导致总体环境影响显着降低如图5。兼顾产品和可持续性,调节后的沼液废水培养微藻可以显着减少对环境的影响,同时还实现更高价值产品以及减少最终材料中的有毒化合物的潜力。

图4. 不同介质的加权生命周期评估,a) 加权 LCA 指数,和 b) 百分比分布。
总结与展望
通过添加少量的Mg、Fe和P,调节厌氧消化的沼液可以显着促进微藻生物质的生长并改善其组成,从而提高生物燃料的产量。与原始沼液和标准BG11培养基相比,生物质中化合物的变化具有更高的耐热性。高值产品脂肪烃和脂肪酸分别提高了23.98%和42.33%,同时调节后的沼液培养基的微藻热解品中的有毒化合物(含氮化合物和PAH)也减少了。此外,如生命周期评估所示,这种方法还有助于减少废水对环境的影响。
原文链接:
https://doi.org/10.1016/j.jclepro.2022.131768
版权与免责声明:
(1) 凡本网注明"来源:颗粒在线"的所有作品,版权均属于颗粒在线,未经本网授权不得转载、摘编或利用其它方式使用上述作品。已获本网授权的作品,应在授权范围内使用,并注明"来源:颗粒在线"。违反上述声明者,本网将追究相关法律责任。
(2)本网凡注明"来源:xxx(非颗粒在线)"的作品,均转载自其它媒体,转载目的在于传递更多信息,并不代表本网赞同其观点和对其真实性负责,且不承担此类作品侵权行为的直接责任及连带责任。其他媒体、网站或个人从本网下载使用,必须保留本网注明的"稿件来源",并自负版权等法律责任。
(3)如涉及作品内容、版权等问题,请在作品发表之日起一周内与本网联系,否则视为放弃相关权利。