2508
2022-09-20
颗粒在线讯:BiScO3-PbTiO3(BS-PT)高温压电陶瓷是一类重要的功能陶瓷材料,因高居里温度(TC: ~450℃)和高压电系数(d33: ~450pC/N),被认为是300℃以上压电传感器、换能器等高温压电器件最具应用潜力的核心敏感铅基压电陶瓷元件之一。然而,BS-PT压电陶瓷的温度稳定性差及退极化温度(Td)低,限制了在实际高温领域中的应用。
近日,中国科学院上海硅酸盐研究所压电陶瓷材料与器件研究团队运用微结构调控和组成设计优化等策略,对BS-PT压电陶瓷开展研究,并取得系列进展。基于晶格畸变和对称演化理论,研究设计了BiScO3-PbTiO3-Bi(Sn1/3Nb2/3)O3(BS-PT-BSN)高温压电陶瓷,实现对压电性能(d33从380 pC/N提高至450 pC/N)和温度稳定性(Td从250℃提高至330℃)的双重调控。进一步,研究通过TEM/PFM/XRD等跨尺度结构表征,揭示了其性能提升的关键因素是丰富畴形态的形成和畴密度的提高,验证了四方相结构是提高温度稳定性的重要依据,相关成果发表在Journal of Materiomics(2022, 8:319-326)和Journal of the American Ceramic Society(2022, 105:1558-1567)上,并获授权发明专利一项。
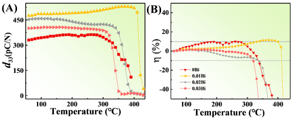
通过轨道杂化提高A-O及B-O键的结合力,科研人员设计了BiScO3-PbTiO3-Zn/Bi高温压电陶瓷,制备了兼具高压电性能(从380pC/N提高至490pC/N)、高居里温度(428℃)、高退极化温度(从250℃提高至410℃)的新型BS-PT铅基压电陶瓷材料。研究采用原位XRD/Raman/PFM等手段,从本征和非本征等角度阐明了优异温度稳定性的内在物理机制。相关成果发表在Journal of the American Ceramic Society(2022,105:6898-6909)上,获授权发明专利一项。
研究以上述高温度稳定性、高压电性能的压电陶瓷为核心元件,制备了4.5MHz的超声换能器样件。该超声换能器在380℃和450℃高温模拟环境中长时间(24h/14h)稳定工作后,灵敏度依然维持在470mV;此外,在室温到450℃温区内保证高-6dB带宽(>95%),高于传统PZT陶瓷换能器(~60%),有望应用于深部石油勘探、压电喷油阀等领域。相关成果发表在Sensors and Actuators(2022, 340,113528)上。
研究工作得到国家自然科学基金、中科院科研仪器设备研制项目的支持。

不同组成设计的畴形貌:(A)BS-PT,(B)BS-PT-BSN

不同相结构的铁电性温度稳定性:(A)三方相 x = 0.59,(B)MPB x = 0.63,(C)四方相 x = 0.65

BS-BPZnT陶瓷的(A)原位d33和(B)原位d33的变化率随温度的变化

BS-PT基高温换能器:(A)实物图,(B)示意图,(C)细节放大图

高温换能器在高温下的不同保温时间脉冲回波图:(A)380℃,(B)450℃
上一篇: 长春应化所高分子合成方法研究获进展
下一篇: 中科院宁波材料所等把二氧化碳变燃料
版权与免责声明:
(1) 凡本网注明"来源:颗粒在线"的所有作品,版权均属于颗粒在线,未经本网授权不得转载、摘编或利用其它方式使用上述作品。已获本网授权的作品,应在授权范围内使用,并注明"来源:颗粒在线"。违反上述声明者,本网将追究相关法律责任。
(2)本网凡注明"来源:xxx(非颗粒在线)"的作品,均转载自其它媒体,转载目的在于传递更多信息,并不代表本网赞同其观点和对其真实性负责,且不承担此类作品侵权行为的直接责任及连带责任。其他媒体、网站或个人从本网下载使用,必须保留本网注明的"稿件来源",并自负版权等法律责任。
(3)如涉及作品内容、版权等问题,请在作品发表之日起一周内与本网联系,否则视为放弃相关权利。