2720
2023-02-07
颗粒在线讯:微纳尺度颗粒在物理场梯度作用下进行泳动是微流控中实现颗粒输运和操控的重要手段。基于温度梯度进行热泳是经典问题,但颗粒界面附近温度梯度的产生往往伴随浓度和电场梯度,使得热泳机理和规律研究面临挑战。微纳颗粒热泳速度uT与温度梯度成正比,即uT=-DTT,其中,热泳迁移率DT是决定颗粒对温度梯度响应及运动快慢的重要参数。以往研究多采用Soret系数ST(ST=DT/D,D为颗粒的扩散系数)来描述热泳的规律。然而,由于热泳机理复杂,涉及双电层离子输运、热电效应、溶液中分子耗散力等作用,Soret系数ST的影响因素和变化规律存在争议。近年来,采用温度梯度进行局部纳米药物递送以及通过光热效应进行颗粒运动操控等新技术的兴起,使得澄清微纳颗粒热泳的基本规律变得更为迫切。
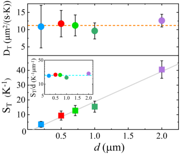
中国科学院力学研究所非线性力学国家重点实验室微纳流动研究团队设计微流控芯片建立0.05-0.1K/mm的均匀稳定的温度梯度(图1),通过系统的实验测量发现:Soret系数ST与颗粒粒径d成线性关系(图2),意味着热泳迁移率DT是由颗粒界面属性主导的常数;在受限空间(如微流控芯片)中,边界表面会在温度梯度下发生热渗,忽略该流动会导致对颗粒热泳的方向和量级做出错误的评估(图3),同时,实验采用疏水高聚物材料作为壁面,发现滑移作用可导致热渗流提高一个量级以上;通过对不同生物颗粒(细胞外泌体和蛋白质纳米颗粒)的实验发现,颗粒表面疏水性也会将颗粒的热泳迁移率和Soret系数提高数倍(图4)。该研究有助于澄清以往存在的热泳规律的争议,提出了通过表面疏水性大幅增强热泳/热渗的可能,为发展基于热泳的生物颗粒微芯片检测技术奠定了基础。
相关研究成果以Surface hydrophilicity-mediated migration of nano/microparticles under temperature gradient in a confined space为题,发表在Journal of Colloid and Interface Science上。该工作由力学所和中科院国家纳米科学科学中心合作完成。研究工作得到国家自然科学基金、中科院前沿科学重点研究计划、中科院战略性先导科技专项(B类)等的支持。

图1.微流控芯片及其中温度梯度的建立

图2.聚苯乙烯颗粒的热泳迁移率和Soret系数实验测量结果

图3.受限空间的边界上产生热渗流可以调控颗粒的热泳,而通过边界滑移可以进一步增强该热渗

图4.疏水蛋白质颗粒(绿色倒三角)的热泳比亲水外泌体(蓝色方块)快约4倍,而二氧化硅(红色圆圈)的热泳迁移率和Soret系数均为负
来源:力学研究所
版权与免责声明:
(1) 凡本网注明"来源:颗粒在线"的所有作品,版权均属于颗粒在线,未经本网授权不得转载、摘编或利用其它方式使用上述作品。已获本网授权的作品,应在授权范围内使用,并注明"来源:颗粒在线"。违反上述声明者,本网将追究相关法律责任。
(2)本网凡注明"来源:xxx(非颗粒在线)"的作品,均转载自其它媒体,转载目的在于传递更多信息,并不代表本网赞同其观点和对其真实性负责,且不承担此类作品侵权行为的直接责任及连带责任。其他媒体、网站或个人从本网下载使用,必须保留本网注明的"稿件来源",并自负版权等法律责任。
(3)如涉及作品内容、版权等问题,请在作品发表之日起一周内与本网联系,否则视为放弃相关权利。