1987
2021-04-08
拓扑物态作为一种新的量子物态,包括拓扑绝缘体、拓扑半金属、及拓扑超导体等,是过去十多年来凝聚态物理领域最具吸引力的研究热点之一,拓扑物态的能带结构在倒空间具有拓扑结构,且其宏观物理性质如电输运、热输运等均由电子轨道波函数的拓扑性质决定。这类材料具有独特的量子性质,以拓扑绝缘体为例,它表现出与一般绝缘体完全不一样的量子现象与物性,如拓扑保护的表面态、反弱局域化、量子自旋/反常霍尔效应等。因为拓扑绝缘体的拓扑特性,在自旋电子学、低功耗电子器件以及量子计算机等领域有着广泛的应用前景。由于拓扑对称性保护,拓扑材料的拓扑量子数对局部缺陷和扰动相当不敏感,这就为拓扑材料在量子技术的可能应用提供了无与伦比的先天优势,也正因为如此,越来越受到研究者的高度关注和广泛研究。自从拓扑能带理论提出以后,在现实世界中探索新的拓扑材料就成为一个极具价值的工作。
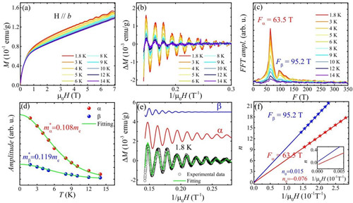
由于热涨落和量子涨落效应随维度的降低而显著增加,具有低维结构的材料常常具有许多新颖的物理特性和应用前景。近年来发现的大部分拓扑材料都具有二维或三维的结构特征,而具有准一维结构的拓扑材料比较少见。中国科学院宁波材料技术与工程研究所量子功能材料团队何少龙研究员课题组近期在低维三元碲化物的奇异量子性质研究中发现了一种新的拓扑半金属材料TaPtTe5。课题组对TaPtTe5的电输运、Hall和磁阻进行了细致测量和分析,并利用低温磁化率测量研究了该材料的de Haas-van Alphen(dHvA)量子震荡,量子震荡和数据分析结果如图1所示,提取到的两个震荡频率都对应非平庸的贝里相位,第一性原理的能带结构如图2所示,计算的拓扑指数也证实了它是一种弱拓扑的狄拉克半金属材料,该材料是课题组成员继TaPdTe5(Phys. Rev. B,2020,102,075141)和TaNiTe5(J. Phys. Chem. Lett.,2020,11,1172)等低维拓扑半金属材料之后在该体系中发现的又一个新拓扑材料,考虑到这类材料的层状低维结构和稳定性,它的发现为拓扑材料的研究和可能应用提供了又一个理想平台。
近期该工作以“Anisotropic transport and de Haas-van Alphen oscillations inquasi-one-dimensionalTaPtTe5”为题发表在Phys. Rev.B,2020,103, 125150(DOI:10.1103/PhysRevB.103.125150)。该工作得到国家重点研发计划(2017YFA0303002)、国家自然科学基金(11674367、11974364、U2032207、11974061)、浙江省自然科学基金(LY19A040002)等的支持。

图1 TaPtTe5的dHvA量子震荡

图2 TaPtTe5的能带结构
上一篇: 厦门大学发布空气能发动机科研成果
版权与免责声明:
(1) 凡本网注明"来源:颗粒在线"的所有作品,版权均属于颗粒在线,未经本网授权不得转载、摘编或利用其它方式使用上述作品。已获本网授权的作品,应在授权范围内使用,并注明"来源:颗粒在线"。违反上述声明者,本网将追究相关法律责任。
(2)本网凡注明"来源:xxx(非颗粒在线)"的作品,均转载自其它媒体,转载目的在于传递更多信息,并不代表本网赞同其观点和对其真实性负责,且不承担此类作品侵权行为的直接责任及连带责任。其他媒体、网站或个人从本网下载使用,必须保留本网注明的"稿件来源",并自负版权等法律责任。
(3)如涉及作品内容、版权等问题,请在作品发表之日起一周内与本网联系,否则视为放弃相关权利。