1909
2021-03-30
近日,中国科学院合肥物质科学研究院固体物理研究所计算物理与量子材料研究部研究员郑小宏课题组在基于二维铁电材料的铁电隧道结研究方面取得新进展,通过密度泛函理论和非平衡格林函数计算发现,在金属Au(010)与二维铁电材料In2Se3接触的体系中,铁电材料的铁电性仍然存在,且由其构建的铁电隧道结达到约104%的巨电致电阻比率。相关研究结果以Giant tunnel electroresistance in ferroelectric tunnel junctions with metal contacts to two-dimensional ferroelectric materials为题,发表在Physical Review B上。
二维(2D)铁电材料及由其构建的铁电隧道结在非易失性存储器件中具有的广泛应用,因而引起关注。只有原子层厚度的纯二维铁电隧道结已被证明具有较高的隧穿电致电阻比率。为了更好地与目前的半导体技术相结合,在采用2D铁电材料构建铁电隧道结时,考虑其与金属电极的接触情况非常重要。然而,由于传统金属与2D铁电材料之间的相互作用复杂,尚不清楚当2D铁电材料与金属接触时,其铁电性是否仍存在,相应的铁电隧道结是否按照存储器件的要求表现出高的隧穿电致电阻效应。
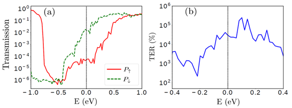
郑小宏课题组采用顶部接触的Au(010)和垂直面外极化的2D铁电材料In2Se3构建了金属与二维材料接触的铁电隧道结。通过密度泛函理论和非平衡格林函数计算发现,与金属接触的铁电材料的铁电性仍然存在,而且由其构建的铁电隧道结的隧穿电致电阻比率高达104%。这是由于随着铁电极化的反转,金属与2D铁电材料之间的界面由肖特基型接触向欧姆型接触转变。此外,研究还发现Au(010)与In2Se3之间的隧道势垒高度为零,说明接触电阻低,具有良好的金属向半导体注入电子的能力。研究表明,通过选择适当的金属材料,可以基于2D铁电材料和金属接触构建具有良好性能的铁电隧道结。
研究工作得到国家自然科学基金的支持,所有计算均在中科院超算中心合肥分中心完成。

图1.铁电隧道结的结构。虚线框区域为Au(010)/In2Se3接触电极,中间部分为In2Se3散射区;红色箭头表示电子从Au注入到In2Se3的过程,蓝色箭头表示电子从左电极进入散射区的过程

图2.(a)两种极化状态情况下的透射函数;(b) 隧穿电致电阻比率随电子能量的变化
版权与免责声明:
(1) 凡本网注明"来源:颗粒在线"的所有作品,版权均属于颗粒在线,未经本网授权不得转载、摘编或利用其它方式使用上述作品。已获本网授权的作品,应在授权范围内使用,并注明"来源:颗粒在线"。违反上述声明者,本网将追究相关法律责任。
(2)本网凡注明"来源:xxx(非颗粒在线)"的作品,均转载自其它媒体,转载目的在于传递更多信息,并不代表本网赞同其观点和对其真实性负责,且不承担此类作品侵权行为的直接责任及连带责任。其他媒体、网站或个人从本网下载使用,必须保留本网注明的"稿件来源",并自负版权等法律责任。
(3)如涉及作品内容、版权等问题,请在作品发表之日起一周内与本网联系,否则视为放弃相关权利。