1710
2021-03-25
当器件的小型化趋势使得晶体管的尺寸进入到深纳米尺度的领域(<10nm),量子效应作用渐显。其根本问题在于世界上最小的晶体管功能和操作原理与七十年以来的半导体器件是否相同?在量子力学原理统治的世界里这些极端的器件会展现出什么新奇的物理效应?对这些问题的探究,或对未来的电子器件及介观物理学的发展提出新的可能性。
对极小晶体管器件探索的一种方法是把世界上最小的功能单元-单个小分子嵌入到电路中构成单个分子的场效应管进行研究,这样的器件只有当分子能级与电路中电子能量相同时才会体现出信号的急剧变化,分子的能级可以通过电场效应进行调节从而实现操控,而对分子中电子传输的探索可以通过扫描隧道显微镜的谱学研究进行。这构成分子电子学两大领域。
中国科学院物理研究所/北京凝聚态物理国家研究中心纳米物理与器件重点实验室科研人员着力于探索最小分子器件中的功能性和新奇电子传输特性,2019年,博士郭潇描述了两个互相耦合的C60分子对中单个分子上单个电荷的变化对对应的分子传输特性的特征性影响(Chin. Phys. Lett. 60, 127301 (2019))。近期,郭潇通过进一步研究发现,单分子器件展现出复杂的强电子关联行为,为单分子器件性能的探索和单分子器件平台在基础物理问题上的应用提供了新思路。
强关联电子问题是当代凝聚态物理研究中的重要问题。新奇的物理问题,如重费米子体系中非费米液体行为、莫特绝缘体、安德森绝缘体、高温超导、反常超导等,其关键均是电子之间的强关联效应主导。这种强关联效应不能为传统意义上的单粒子模型和平均场理论所描述,在实际应用和理论研究上都有重要意义。传统上,为追求特殊的电子关联关系,强关联问题的研究往往采用结构和组分复杂的材料系统。通过结构组分设计和掺杂调控,强关联物理研究在这些体系中取得巨大成功。在这些体系中影响因素较多(材料的杂质、各种缺陷,均匀性等),导致很多情况下对实验结果的理论理解上存在争议。与之相对应的,另一种研究关联电子问题的方法是迫使电子通过空间极端受限的人造纳米结构,使得巡游电子不得不与纳米结构中囚禁的单个或少量电子的产生关联,从而构造出强关联电子体系,而电子的传输结果直接取决于电子的强关联行为。这种体系中,电子的关联强度和关联电子的能级结构均可人为控制,从而构成模拟强关联问题的基本模型。在具体纳米器件中欠屏蔽、过屏蔽近藤效应,以及非费米液体、量子相变等一些强关联电子行为被陆续发现。研究此类问题依赖于参数可调的多能级多通道近藤系统,而实验上构造这类系统的难度较高,成为相关研究的壁垒。
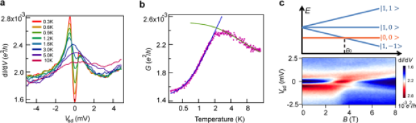
围绕这类问题,郭潇等科研人员利用酞菁锰磁性分子开展研究。酞菁类分子可以与金属构成强关联态,研究通过利用发展出的可控烧蚀电极的方法构造纳米金属电极对,并把单个酞菁锰分子嵌入其中,利用几纳米距离外的门电极对其中的多个分子轨道能量进行静电调控。这样构造的一个强关联分子晶体管体系中巡游电子与囚禁电子的有效关联与囚禁在分子中不同轨道中电子之间的关联作用相竞争,体现一个最简化的安德森局域场模型中最重要的关联效应(图1)。单个酞菁锰分子器件是天然的零维量子限域体系,具有确定的空间结构和轨道结构,是构造多能级多通道关联系统的有力工具。科研人员利用静电场去除分子中一个电子后,居于锰离子上的两个电子占据两个轨道构成近简并的双能级系统,实现了两个d电子间关联作用与其中一个d电子和电路中巡游电子关联作用的竞争。通过监测巡游电子的电信号观察到了典型的强关联体系中单通道二阶近藤效应(图2)。简单来说,当分子器件居于量子临界点附近的时候,高温下巡游相互作用占主导,低温下局域相互作用占主导,形成互相竞争的态势。这两种相互作用的竞争构成了强关联问题中的重要课题。
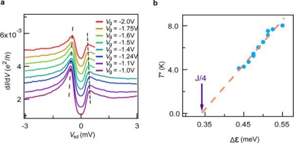
研究证明酞菁锰分子器件可用来展现这种复杂的强关联作用,并利用器件背栅实现了相对关联强度的调节,首次在实验上描述出单通道二阶近藤效应的演化方式,验证了数字重正化群计算方法中预言已久的线性关系(图3),利用这一关系获得该类分子器件中两个电子的交换相互作用的类型和大小。近藤关联的普适性在该研究中第一次得到全面展示。近藤理论的普适性依赖于其对基态的低能扰动来源不敏感,任何种类的相互作用都应该体现出相同的行为。该研究在实验上首次证明该近藤强关联态对所有可调节试验参数表现出一致的普适平方关系(图4a),揭示出其中电子的费米液体行为,并定量对二阶近藤效应非平衡输运过程的特异性进行了讨论(图4b)。
相关研究成果以Evolution and universality of Two-stage Kondo effect in single manganese phthalocyanine molecule transistors为题,发表在Nature Communications上。郭潇为论文第一作者,研究员梁文杰为论文通讯作者。研究工作得到国家重点研发计划、中科院战略性先导科技专项等的支持。

图1 a.酞菁锰分子结构及器件示意图;b.单个酞菁锰分子晶体管器件低温下输运特性

图2 单通道二级近藤效应的实验特征

图3 a.二阶近藤共振微分电导随栅压的变化;b.二阶近藤效应中近藤温度T*与器件分子中自旋单态/三态的能量差Δε的关系
图4 a.二阶近藤效应低能量状态下微分电导随电压(V)磁场(B)温度(T)表现出普适的平方关系;b.二阶近藤效应与自旋1/2近藤效应中非平衡输运的差异
版权与免责声明:
(1) 凡本网注明"来源:颗粒在线"的所有作品,版权均属于颗粒在线,未经本网授权不得转载、摘编或利用其它方式使用上述作品。已获本网授权的作品,应在授权范围内使用,并注明"来源:颗粒在线"。违反上述声明者,本网将追究相关法律责任。
(2)本网凡注明"来源:xxx(非颗粒在线)"的作品,均转载自其它媒体,转载目的在于传递更多信息,并不代表本网赞同其观点和对其真实性负责,且不承担此类作品侵权行为的直接责任及连带责任。其他媒体、网站或个人从本网下载使用,必须保留本网注明的"稿件来源",并自负版权等法律责任。
(3)如涉及作品内容、版权等问题,请在作品发表之日起一周内与本网联系,否则视为放弃相关权利。