1896
2021-03-12
近日,中国科学院合肥物质科学研究院固体物理研究所功能材料与器件研究部研究员朱雪斌课题组在V2O3金属-绝缘体相变机理研究方面取得新进展,相关研究结果以Unveiling the mechanisms of metal-insulator transitions in V2O3: The role of trigonal distortion为题,发表在Physical Review B上。
金属-绝缘体相变是指材料在组分、温度、压力等作用下,发生金属相与绝缘相之间的转变,通常伴随着电阻率、磁性、光学反射率等物理性质的显著变化。这种独特物性使得这类相变材料在光电开关、信息存储、传感器、场效应晶体管、智能窗口等领域具有广阔的应用前景。因此,金属-绝缘体相变一直是凝聚态物理和材料科学中备受关注的热点和研究重点。
V2O3是一种典型的具有丰富金属-绝缘体相变现象的材料:室温常压下为顺磁金属(PM)相,Cr掺杂在晶体结构对称性不变的情况下将PM相转变为顺磁绝缘(PI)相,该PM-PI相变也被认为是凝聚态物理中标准的Mott-Hubbard相变;当温度降低到160 K左右时,V2O3将从PM相转变为反铁磁绝缘(AFI)相,同时伴随着结构相变。V2O3中的金属-绝缘体相变已得到人们的持续关注和广泛研究,但目前关于PM-PI相变是源于电子关联/三角畸变或Cr掺杂导致的局域结构畸变/无序存在争议,对PM相及其PM-AFI相变的基本物理问题仍没有清晰的认识。
为了解决上述问题,科研人员在V2O3薄膜生长过程中将衬底温度作为唯一变化的调控参数,利用V2O3和Al2O3之间的晶格/热膨胀系数失配,在V2O3薄膜中实现了应力和三角畸变的大范围连续调节。在V2O3薄膜中通过面内拉伸应力增强三角畸变将PM相转变为PI相,电输运性质和拉曼光谱结果表明V2O3薄膜中应力与单晶中Cr掺杂对PM-PI相变具有相同的作用。这为澄清V2O3中PM-PI相变机理争议提供了关键的实验证据,直接揭示了三角畸变在PM-PI相变中的重要作用,对比实验表明Cr掺杂导致的局域结构畸变/无序只是起到了增大PM相和PI相电阻率的作用。通过拉曼光谱的研究还发现V2O3中PM相的轨道占据态随三角畸变发生显著变化并且直接决定了PM-AFI相变特性,从而改变了之前关于V2O3的PM相具有相同轨道占据态的传统观点,揭示了V2O3薄膜中的应力具有与单晶中的掺杂和静水压截然不同的调控机理,这为认识和理解PM相及其PM-AFI相变机理提供了新的依据。
研究工作得到国家重点研发计划和国家自然科学基金的支持。

图1.(a) V2O3中三角畸变与t2g能级劈裂关系示意图;(b)V2O3薄膜晶格常数随衬底温度的变化关系;(c)V2O3与Al2O3的晶格/热膨胀失配对V2O3薄膜晶格常数a的影响

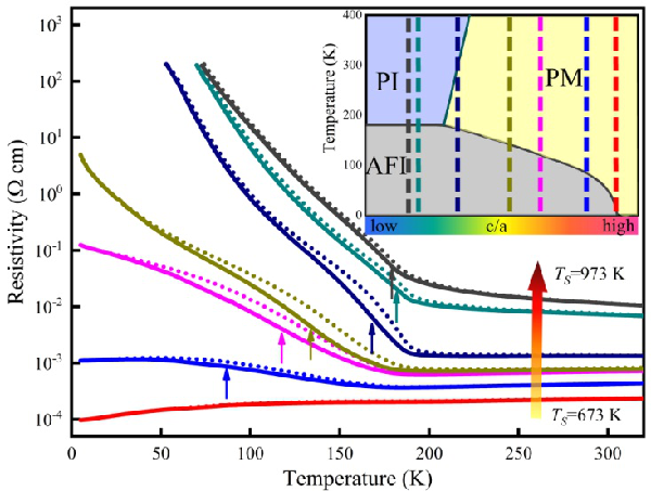
图2.不同衬底温度下制备的V2O3薄膜电阻率随温度的变化关系

图3.(a)室温下V2O3薄膜PM相的拉曼光谱;(b)A1g模与PM-AFI相变特性的关系
版权与免责声明:
(1) 凡本网注明"来源:颗粒在线"的所有作品,版权均属于颗粒在线,未经本网授权不得转载、摘编或利用其它方式使用上述作品。已获本网授权的作品,应在授权范围内使用,并注明"来源:颗粒在线"。违反上述声明者,本网将追究相关法律责任。
(2)本网凡注明"来源:xxx(非颗粒在线)"的作品,均转载自其它媒体,转载目的在于传递更多信息,并不代表本网赞同其观点和对其真实性负责,且不承担此类作品侵权行为的直接责任及连带责任。其他媒体、网站或个人从本网下载使用,必须保留本网注明的"稿件来源",并自负版权等法律责任。
(3)如涉及作品内容、版权等问题,请在作品发表之日起一周内与本网联系,否则视为放弃相关权利。