1817
2021-03-03
石墨烯独特的结构蕴含丰富且新奇的物理,不仅为基础科学提供了重要的研究平台,而且在电子、光电子、柔性器件等领域显现出广阔的应用前景。为了充分发挥石墨烯的优异性质并实现其工业生产与应用,须找到合适的材料制备方法,使制备出的石墨烯能够同时满足大面积、高质量、与现有的硅工艺兼容等条件。目前为止,大面积、高质量石墨烯单晶通常都是在过渡金属表面外延生长而获得的,但后续复杂的转移过程通常会引起石墨烯质量的退化和界面的污染,从而阻碍石墨烯在电子器件方面的应用。
近年来,中国科学院院士、中科院物理研究所/北京凝聚态物理国家研究中心纳米物理与器件重点实验室研究员高鸿钧带领团队在石墨烯及类石墨烯二维原子晶体材料的制备、物性调控及应用等方面开展了研究和探索,取得了一系列研究成果。在早期的研究工作中,研究人员发现,在过渡金属表面外延生长的石墨烯具有大面积、高质量、连续、层数可控等优点(Chin. Phys. 16, 3151 (2007); Adv. Mater. 21, 2777 (2009); 2D Mater. 6, 045044 (2019));进一步发展了基于该体系的异质元素插层技术,运用该技术可有效避免复杂的石墨烯转移过程,使大面积、高品质石墨烯单晶可以无损地置于异质元素插层基底之上(Appl. Phys. Lett. 100, 093101 (2012); Appl. Phys. Lett. 99, 163107 (2011))。随后,研究人员揭示了石墨烯无损插层的普适机制(J. Am. Chem. Soc. 137, 7099 (2015));利用该插层技术,实现了空气中稳定存在的石墨烯/硅烯异质结的构建(Adv. Mater. 30, 1804650 (2018))和对石墨烯电子结构的调控(Nano Res. 11, 3722 (2018); Nano Lett. 20, 2674 (2020))。
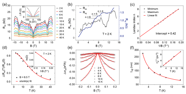
在上述研究基础上,该研究团队的博士后郭辉、博士生王雪艳和副主任工程师黄立等经过持续努力,实现了金属表面外延高质量石墨烯的SiO2绝缘插层,并原位构筑了石墨烯电子学器件。研究人员在Ru(0001)表面实现了厘米尺寸、单晶石墨烯的外延生长;在此基础上,发展了分步插层技术,通过在同一样品上插入硅和氧两种元素,在石墨烯和Ru基底的界面处实现了二氧化硅薄膜的生长;随着硅、氧插层量的增加,界面处二氧化硅逐渐变厚,其结构由晶态转变为非晶态;当二氧化硅插层薄膜到达一定厚度时,石墨烯与金属基底之间绝缘;利用这一SiO2插层基底上的石墨烯材料,可实现原位非转移的外延石墨烯器件的制备(图1)。实验上首先通过截面扫描透射电子显微镜的研究,证明了薄层晶态二氧化硅的双层结构,进一步结合扫描隧道显微镜及拉曼光谱的研究,表明二氧化硅插层之后石墨烯仍保持大面积连续及高质量性质(图2);随着硅、氧插层量的增加,扫描透射电镜图像显示界面处二氧化硅的厚度可达1.8 nm;垂直方向输运测试及理论计算表明,该厚层非晶态二氧化硅(1.8 nm)插层较大限制了电子从石墨烯向金属Ru基底的输运过程,实现了石墨烯与金属Ru基底之间的电学近绝缘(图3);基于1.8 nm二氧化硅插层的样品,原位制备出石墨烯的电子学器件,并且通过低温、强磁场下的输运测试,观测到了外延石墨烯的SdH振荡、整数量子霍尔效应、弱反局域化等现象(图4)。这些现象都来源于石墨烯二维电子气的本征性质,进一步证明了1.8 nm非晶态二氧化硅的插层并未破坏石墨烯大面积、高质量的特性,而且有效隔绝了石墨烯与金属基底之间的耦合。该研究提供了一种与硅基技术融合的、制备大面积、高质量石墨烯单晶的新方法,为石墨烯材料及其器件的应用研究提供了基础。
相关研究成果发表在Nano Lett.上。郭辉、王雪艳和黄立为论文的共同第一作者,高鸿钧、物理所副研究员鲍丽宏和研究员杜世萱为论文的共同通讯作者。研究工作得到科学技术部、国家自然科学基金委和中科院的资助。

图1.Ru(0001)表面外延大面积、高质量石墨烯的SiO2插层及原位器件的制备。(a)-(d)SiO2插层及原位器件示意图;(e)-(g)不同制备阶段样品的LEED表征;(h)石墨烯Hall器件的Raman mapping

图2.(a)薄层晶态二氧化硅插层样品的截面STEM图像;(b)高分辨STEM图像显示晶态二氧化硅的双层结构;(c)界面处的EELS谱;(d)晶态二氧化硅表面石墨烯的STM图像;(e)插层之后石墨烯的Raman光谱

图3.(a)厚层二氧化硅插层样品的界面STEM图像,显示界面处厚层二氧化硅的厚度达到1.8 nm,具有非晶态结构;(b)X射线光电子能谱;(c)低偏压(<10 mV)下,对不同厚度二氧化硅插层的样品在垂直方向输运性质测试;(d)基于不同厚度二氧化硅插层样品的透射系数的计算

图4.原位石墨烯霍尔器件的磁输运测试。(a)不同温度下的SdH振荡,插图是低场范围不同温度下的磁阻变化;(b)2 K下磁阻Rxx以及霍尔电阻Rxy随磁场的变化;(c)基于SdH振荡的Landau能级指数n随1/B的变化规律;(d)SdH振荡振幅随温度变化的依赖关系;(e)不同温度下电导率在低场范围的变化规律,与石墨烯的弱反局域理论很好的拟合;(f)相干长度LΦ和散射速率\(\tau_{\varphi}^{-1}\)随温度的变化关系
上一篇: 美科学家成功开启关闭“纳米灯”
版权与免责声明:
(1) 凡本网注明"来源:颗粒在线"的所有作品,版权均属于颗粒在线,未经本网授权不得转载、摘编或利用其它方式使用上述作品。已获本网授权的作品,应在授权范围内使用,并注明"来源:颗粒在线"。违反上述声明者,本网将追究相关法律责任。
(2)本网凡注明"来源:xxx(非颗粒在线)"的作品,均转载自其它媒体,转载目的在于传递更多信息,并不代表本网赞同其观点和对其真实性负责,且不承担此类作品侵权行为的直接责任及连带责任。其他媒体、网站或个人从本网下载使用,必须保留本网注明的"稿件来源",并自负版权等法律责任。
(3)如涉及作品内容、版权等问题,请在作品发表之日起一周内与本网联系,否则视为放弃相关权利。