1993
2021-01-26
二维层状原子晶体材料的物理性能(如带隙等)随厚度减小而变化,在光子和光电子器件的应用中具有广阔前景。光电探测器作为重要的光电应用单元器件,引发学界广泛关注,近年来基于二维原子晶体材料的光电晶体管成为最主要的关注对象之一。除半金属的石墨烯之外,半导体二维原子晶体材料(如过渡金属硫属化合物、II-VI族、Ⅲ-VI族层状半导体等)是光电探测器沟道材料的优良候选者。然而,由于在大栅极电压下存在较大的暗电流,光开关比和光响应率小是基于这些二维原子晶体材料的光电探测器存在的问题。硒化铟(InSe)作为一种典型的二维层状Ⅲ-VI族半导体材料,具有优异的电学性能(载流子迁移率~104 cm2 V-1 s-1)和适中且可调的直接带隙,光谱响应覆盖了从近红外到紫外的范围,在光电器件中表现出潜力。因此,如何优化器件结构并充分发挥其在光电探测器领域的作用,成为科研人员重点关注的关键问题。
中国科学院物理研究所/北京凝聚态物理国家研究中心纳米物理与器件重点实验室研究员、中科院院士高鸿钧带领的团队长期致力于研究新型二维原子晶体材料的制备、物性调控及原型器件构筑等,并获得了一系列重要研究成果。例如,他们实现黑磷的电子掺杂,并构筑出黑磷栅控二极管、逻辑反相器、双向整流器等一系列平面器件(Nano Lett. 16, 6870 (2016)),进一步利用交联PMMA作为顶栅、SiO2作为背栅,通过双栅调控实现黑磷的单极性(N型或P型)场效应晶体管(2D Mater. 4, 025056 (2017))。
近期,该团队博士生吴良妹(已毕业)和副研究员鲍丽宏等针对InSe和传统栅介质(如SiO2、Al2O3、HfO2等)的界面特性不兼容所诱导的额外载流子散射过程,从而造成InSe的场效应晶体管的迁移率、开关比严重下降的关键科学问题,利用二维原子晶体异质结堆叠技术,将InSe作为沟道材料、六方氮化硼(h-BN)作为背栅、石墨 (graphite)作为栅电极,构筑了InSe/h-BN/graphite异质结。研究人员对该异质结进行高分辨扫描透射显微镜表征,发现InSe与h-BN之间具有原子级锐利的界面特性(与中国科学院大学教授周武合作)。该原子级锐利的界面特性降低了载流子在沟道与栅介质界面处的散射,使以该异质结作为核心单元构筑的场效应晶体管表现出高达1146 cm2/Vs的电子迁移率、~1010的电流开关比。进一步利用该异质结构筑的逻辑反相电路的电压增益高达93.4。研究人员利用二维原子晶体材料良好的力学柔韧性,将该异质结放置于柔性衬底,在柔性衬底施加高达~2 %的应变时,相应的场效应晶体管的器件性能并未发生明显退化,这显示出该异质结在柔性电子学领域的潜在应用。相关研究成果以InSe/h-BN/graphiete heterostructures for high-performance 2D electronics and flexible electronics为题,发表在Nano Res. 13, 1127-1132 (2020)上。
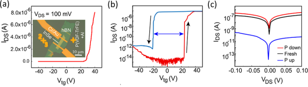
基于InSe与h-BN间的原子级锐利界面特性,该团队联合培养博士生刘丽和鲍丽宏等进一步利用有机透明铁电薄膜作为栅介质,构筑出高性能InSe光电探测器。与传统栅介质相比,铁电栅介质具有较高的相对介电常数(~103),利用其自发极化特性,有望深度耗尽半导体沟道中的剩余载流子,从而抑制光电探测器的暗电流,提高光电探测器的光开关比、光响应率等性能。研究人员使用透明铁电P(VDF-TrFE)共聚物薄膜作为顶栅介质、半透明铝膜作为顶栅电极、InSe作为沟道、h-BN作为衬底,制作了InSe光电探测器(图1)。多层InSe沟道在铁电P(VDF-TrFE)调制下的转移曲线中存在一个~40 V的逆时针存储窗口,这是铁电极化转换过程引起的。沟道电流(IDS)随顶栅电压(Vtg)增加而增加,表明InSe沟道是典型的n型导电,电流的开/关比高达~108(图2 a-b)。InSe 晶体管在铁电P(VDF-TrFE)薄膜三种极化状态调制下的输出特性表明,载流子在极化向上状态下完全耗尽,其沟道电流IDS最小,使其暗电流低至~10-14 A,且沟道电流主要来自光生载流子的贡献(图2c)。对于自然状态和极化向下状态,沟道电流不仅来源于光激发载流子,热离子/隧穿载流子也做出了较大贡献(图3)。铁电顶栅处于极化向上状态时,光电流Iph与激光功率之间呈幂律关系:Iph ∝ P0.44,表明光生载流子的效率与吸收的光子通量非线性相关,也反映出复合过程(陷阱态)产生的光生载流子的损耗。在激光功率0.04 mW/cm-2下,光响应率高达14250 AW-1,探测率高达1.63×1013 Jones,比此前的文献报道提高了两个数量级。InSe光电探测器的光电流开关的上升时间(tr)和下降时间(tf)分别为600 μs和1.2 ms,均优于此前报道的基于其他二维原子晶体的铁电栅控光电探测器(图4)。该研究提出了一种利用铁电栅介质以调控二维原子晶体光晶体管的载流子电子输运的新方法,有效抑制了其暗电流,解决了当前二维原子晶体光探测器的光开关比和光响应率小的问题,为未来基于二维原子晶体光电探测器的开发提供了新途径。
相关研究成果以Ferroelectric-Gated InSe Photodetectors with High On/Off Ratios and Photoresponsivity为题,发表在Nano Lett. 20, 6666-6673 (2020)上。刘丽为论文第一作者,鲍丽宏和湖南大学教授秦志辉为论文的共同联系作者,美国Vanderbilt University教授Sokrates T. Pantelides等是该研究的合作者。研究工作得到科学技术部、国家自然科学基金委员会、中科院的支持。

图1.多层InSe光电探测器的器件结构。(a)γ-InSe的晶体结构。(b)单色光照射下,多层InSe光电探测器的结构示意图。(c)18 nm厚InSe薄片的AFM图像

图2.铁电栅控的InSe晶体管室温下在黑暗环境中的电学特性。(a)以P(VDF-TrFE)为铁电顶栅电介质的InSe晶体管在VDS=100 mV时的转移曲线。(b)对数标度,从-40 V到40 V的双扫观察到 ~40 V的大逆时针存储窗口。(c)在零栅极电压下,具有三种状态铁电薄膜的InSe FET的输出特性

图3.零栅极电压下,多层InSe光电晶体管在铁电P(VDF-TrFE)层的三种极化状态下的光响应特性。(a-c)在VDS=0 V下具有三种不同铁电极化状态的InSe光电晶体管的截面图。(d-f)在三种状态下,黑暗和光照时光电晶体管的IDS-VDS特性。(g-i)铁电栅控的InSe光电探测器在三种状态下的光开关特性

图4.铁电栅控的InSe光电探测器在极化向上状态下的光响应特性。(a)光电晶体管的IDS-VDS行为。(b)光照功率依赖的光电流。(c)InSe光电探测器的响应率和探测率。(d-f)InSe光电晶体管在极化向上状态下的时间分辨光开关行为
上一篇: 山西煤化所在CO2加氢转化研究中取得进展
版权与免责声明:
(1) 凡本网注明"来源:颗粒在线"的所有作品,版权均属于颗粒在线,未经本网授权不得转载、摘编或利用其它方式使用上述作品。已获本网授权的作品,应在授权范围内使用,并注明"来源:颗粒在线"。违反上述声明者,本网将追究相关法律责任。
(2)本网凡注明"来源:xxx(非颗粒在线)"的作品,均转载自其它媒体,转载目的在于传递更多信息,并不代表本网赞同其观点和对其真实性负责,且不承担此类作品侵权行为的直接责任及连带责任。其他媒体、网站或个人从本网下载使用,必须保留本网注明的"稿件来源",并自负版权等法律责任。
(3)如涉及作品内容、版权等问题,请在作品发表之日起一周内与本网联系,否则视为放弃相关权利。