1885
2021-01-18
磁斯格明子是一种非共线磁涡旋结构并受拓扑保护的准粒子。磁斯格明子因其可做到纳米尺寸、非易失且易驱动,被认为在下一代自旋电子学器件如信息存储、逻辑运算或神经网络技术等领域将扮演重要角色。磁斯格明子的形成通常是由使磁矩倾向于垂直排列的反对称交换耦合(Dzyaloshinskii-Moriya interaction,DMI)引起的。同时,DMI也是凝聚态物理等基础科学研究中的重要物理相互作用,因而DMI和磁斯格明子的研究已成为自旋电子学领域、量子材料研究的热点。
DMI的出现要求打破磁性材料的空间反演对称性及强的自旋轨道耦合作用(spin-orbital coupling,SOC)。因此,目前实验上大多利用磁性薄膜和具有强SOC的重金属薄膜形成异质结来诱导出大的DMI,实现磁斯格明子态,这些材料在实际应用过程中仍存在着如何保证磁斯格明子的室温稳定性、可控读写和高密度等亟需解决的问题。随着二维铁磁性薄膜的发现,二维材料在自旋电子中的应用越来越受到重视,人们期待能在新材料中实现室温稳定可控的磁斯格明子。然而,目前已制备出的二维铁磁材料如CrI3,VSe2和Fe3GeTe2等单层薄膜,由于其晶体结构非对称性约束,导致无法产生DMI,限制了其在磁斯格明子领域的应用。因此,探究出如何才能在二维磁性材料中诱导出大的DMI,并实现对磁斯格明子态的调控十分重要。
近年来,中国科学院宁波材料技术与工程研究所量子功能材料团队研究员杨洪新致力于磁斯格明子材料的研究[Nature Materials 17, 605 (2018); Nature Nanotechnology 11, 449 (2016); Physical Review Letters 124, 217202 (2020); Physical Review Letters 115, 267210 (2015); Physical Review B 101, 184401 (2020); Physical Review B 102, 094425 (2020)等]。近期,科研人员提出利用二维多铁材料内禀的Rashba效应,不仅可以诱导出大的DMI,而且能实现电场调控磁斯格明子。该研究开辟了二维材料中通过多铁性实现磁斯格明子的一体化电学调控新领域。相关研究成果以Electrically switchable Rashba-type Dzyaloshinskii-Moriya interaction and skyrmion in two-dimensional magnetoelectric multiferroics为题,以Rapid Communication的形式发表在Physical Review B上。
研究发现,在具有垂直电极化的二维多铁材料中,其自发电偶极矩导致的电势差会在薄膜中产生强的Rashba效应,可使传导电子在磁性原子间传递DMI,而不要额外的重金属元素来提高材料的SOC。利用二维多铁材料的磁电耦合,通过外加电场使电极化矢量翻转的同时也可实现DMI手性的翻转,如图1(a)所示。利用二维多铁材料的这一特性,可在单一的二维多铁材料中实现可相互转换的具有不同手性和极性的磁斯格明子态,如图1(b)所示。这可为利用磁斯格明子实现多态存储提供了新思路。为实现以上构想,科研人员研究了CrN单层薄膜等多种二维多铁材料。通过第一性原理计算发现,CrN单层薄膜中出现了DMI,大小达到了3.74meV
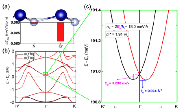
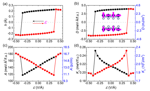
/f.u.。通过分析DMI的能量来源发现(图2(a)),CrN单层薄膜的DMI相关能量主要来自Cr原子。进一步分析CrN单层薄膜能带的Rashba分裂发现,由简单的Rashba模型出发计算的DMI系数和直接从第一性原理计算得到的DMI是一致的(图2(b)~(c))。这些分析表明,CrN单层薄膜中的DMI是由体系Rashba效应导致的。利用计算的DMI等磁性参量,科研人员通过微磁模拟确认了在CrN单层薄膜可以实现磁斯格明子态。此外,科研人员研究了电场对CrN单层薄膜的结构和磁性性质调控(图3),发现通过外加电场可实现CrN单层薄膜的DMI大小和手性翻转。综合以上研究,科研人员提出了在CrN单层薄膜中可以实现电场对磁斯格明子的翻转调控。
研究工作由宁波材料所助理研究员梁敬华,博士崔琪睿和杨洪新合作完成。研究工作得到中科院基础前沿科学研究计划“从0到1”原始创新项目、国家自然科学基金和浙江省杰出青年科学基金等的支持,并获得中科院宁波材料所超算平台和天河超算对计算工作的支持。

图1.电场调控DMI手性和磁斯格明子示意图:(a)对二维多铁薄膜施加垂直薄膜的电场使其电极化矢量发生翻转,由此实现DMI手性翻转;(b)通过施加不同方向的电场和磁场可以实现可以相互转换的具有不同手性和极性的磁斯格明子态

图2.CrN单层薄膜的Rashba型DMI:(a)CrN单层薄膜的DMI能量来源;(b)和(c)CrN单层薄膜能带的Rashba分裂

图3.电场对CrN单层薄膜的结构和磁性性质调控:(a)到(d)分别为CrN单层薄膜的起伏高度h,DMI系数D,自旋刚度A和垂直磁各向异性K随外电场的变化关系
版权与免责声明:
(1) 凡本网注明"来源:颗粒在线"的所有作品,版权均属于颗粒在线,未经本网授权不得转载、摘编或利用其它方式使用上述作品。已获本网授权的作品,应在授权范围内使用,并注明"来源:颗粒在线"。违反上述声明者,本网将追究相关法律责任。
(2)本网凡注明"来源:xxx(非颗粒在线)"的作品,均转载自其它媒体,转载目的在于传递更多信息,并不代表本网赞同其观点和对其真实性负责,且不承担此类作品侵权行为的直接责任及连带责任。其他媒体、网站或个人从本网下载使用,必须保留本网注明的"稿件来源",并自负版权等法律责任。
(3)如涉及作品内容、版权等问题,请在作品发表之日起一周内与本网联系,否则视为放弃相关权利。