1835
2020-12-10
随着快速的城市化和工业化进程,近年来产生了大量富含有机污染物与病原体的市政污泥。此类固废的传统处置方式包括填埋、焚烧等,对环境产生巨大负荷。然而,污泥限氧热解可减少温室气体排放并实现碳的稳定储存,产物生物炭的高比表面积、丰富的官能团和多界面反应位点,为污泥资源化利用提供了经济环保的出路。
中国科学院武汉岩土力学研究所环境土力学与工程学科方向组研究团队采用常规限氧热解污泥得到多孔生物炭,将其作为绿色工程材料与水泥复配,制备了岩土工程固化用生态胶凝材料。污泥生物炭在反应体系中降低了局部水灰比,起到内部养护作用,并提供更多成核位点,促进水化产物的生成,从而增强了复合材料机械性能(如图1)。尽管污泥生物炭在土壤改良、环境修复以及水处理等领域得到广泛应用,然而,作为工程材料应用于岩土工程领域尚属首次探索。污泥生物炭生态水泥的制备与使用,为污泥资源化利用和水泥行业可持续发展提供了新思路。
生物炭胶凝材料的性能取决于原材料的类型和热解温度工艺,污泥的热化学特性表明,160-580℃温度范围是主要和有效的热解区。因此,在不同温度工艺制备污泥生物炭的比表面积、孔隙特征随温度变化具有较大差异性。H/C和O/C比值揭示了污泥生物炭具有稳定的化学和生物性质及较强的亲水能力。这些特征为污泥生物炭作为工程材料的应用提供了条件。
为探明生物炭水泥复合材料的性能与水化反应过程,研究人员采用多尺度表征手段揭示了固化体的力学强度、水化产物以及水化程度演化规律(如图2,3),优化得到了污泥生物炭水泥的最佳制备工艺(500℃热解温度,60min保温时间)。
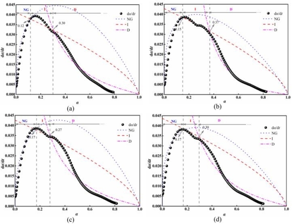
为进一步揭示生物炭水泥复合材料的水合机理,研究人员采用等温量热法,确定了水化反应过程水化反应热流曲线。尽管不同温度工艺的反应体系具有相似的放热特性,但最优的温度工艺使复合材料具有相对较高的放热速率、累计水化热和较短的休眠期,表明了生物炭的加速水化效应。此外,采用Krstulovic Dabic动力学模型很好地模拟了污泥生物炭的水合过程(如图4),在生物炭-水泥复合体系中揭示了其水合作用机制:NG-I-D。最优工艺生物炭提供的成核位点最多,在各反应阶段的反应速率常数最高,并且具有最短的相边界反应阶段(I)。
结合生物炭优势和复合材料固稳特性,污泥生物炭生态水泥应用潜力巨大。
该研究成果已在线发表在Construction and Building Materials上。上述工作得到了国家杰出青年科学基金、国家重点研究与发展计划、国家自然科学基金委员会与香港研究资助局联合科研资助合作研究项目、国家科学基金会科学仪器基础研究专项基金等共同资助。

图1 污泥生物炭生态水泥制备工艺图

图2 不同工艺污泥生物炭水泥复合材料机械强度特征

图3 不同工艺污泥生物炭水泥复合材料水合程度

图4 不同工艺污泥生物炭水泥复合材料水化动力学曲线
版权与免责声明:
(1) 凡本网注明"来源:颗粒在线"的所有作品,版权均属于颗粒在线,未经本网授权不得转载、摘编或利用其它方式使用上述作品。已获本网授权的作品,应在授权范围内使用,并注明"来源:颗粒在线"。违反上述声明者,本网将追究相关法律责任。
(2)本网凡注明"来源:xxx(非颗粒在线)"的作品,均转载自其它媒体,转载目的在于传递更多信息,并不代表本网赞同其观点和对其真实性负责,且不承担此类作品侵权行为的直接责任及连带责任。其他媒体、网站或个人从本网下载使用,必须保留本网注明的"稿件来源",并自负版权等法律责任。
(3)如涉及作品内容、版权等问题,请在作品发表之日起一周内与本网联系,否则视为放弃相关权利。