1839
2020-11-13
近日,中国科学院合肥物质科学研究院固体物理研究所计算物理与量子材料研究部研究员郑小宏课题组在二维二氧化锡(SnO2)材料研究中取得进展。研究人员基于第一性原理计算方法理论预测SnO2的二维单层δ相(P-4m2)可以稳定存在,并发现δ相的二维SnO2材料具有平面内负泊松比特性。此外,通过空穴载流子掺杂,可诱导体系从非磁态向铁磁序转变,并实现完全自旋极化的半金属性。相关研究成果以Computational Prediction of a Two-dimensional Semiconductor SnO2 with Negative Poisson's Ratio and Tunable Magnetism by Doping为题,发表在Physical Review B上。
SnO2块体是一种n型宽带隙的半导体材料,常见的结构为金红石结构。由于具有较好的化学稳定性、高透光率、低电阻率以及耐酸碱等特点,SnO2在电极材料、化学传感器元件和太阳能电池等领域具有应用前景。研究表明,在SnO2块体中掺入3d过渡金属杂质,能够实现室温铁磁性。当体系引入氧空位时,可以在其薄膜样品中观察到铁磁序,而在块体样品中则观察不到。尽管SnO2块体材料在实验和理论上已被广泛研究,但是其对应的二维单层相的相关研究仍然较少。进一步探究SnO2二维相是否存在及其掺杂诱导室温铁磁性的可能性,对二维半导体领域以及自旋电子学领域具有重要意义。
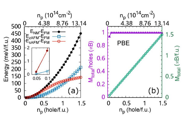
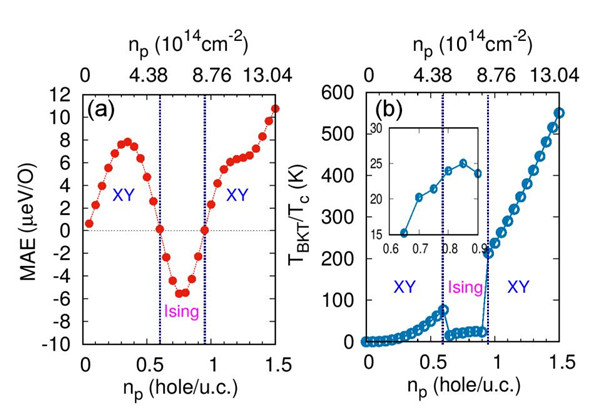
研究人员基于密度泛函理论计算,发现δ相的二维SnO2(δ-SnO2)能稳定存在,且是一种具有平面内负泊松比(ν=-0.11)性质的单层材料,而负泊松比的形成主要由晶格结构对称性与SnO4四面体在低维效应限制下的协同作用造成。同时,该单层SnO2是一种带隙为3.7 eV的间接带隙半导体,电子迁移率可高达103 cm2V-1s-1。SnO2在费米能级附近的价带中呈现出双墨西哥帽状的能带特征。研究人员可通过空穴载流子掺杂方式诱导体系发生铁磁相变,它在较宽的掺杂浓度范围内能够表现半金属性。Stoner机制可解释这种磁性相变。此外,通过改变空穴载流子掺杂浓度还可实现二维XY磁体和Ising磁体二者之间的转变,并在适当的掺杂浓度下,其铁磁转变温度可高于室温。研究表明,所预测的SnO2相是p型磁性体系的又一重要例子,同时也说明所预测的SnO2二维相在纳米力学和低维自旋电子学方面具有应用前景。
研究工作得到国家自然科学基金和国家留学基金委的资助,相关计算在中科院超算中心合肥分中心完成。
图1.(a)二维单层δ-SnO2的晶体结构俯视图和侧视图;(b)x方向上的应变随施加在体系y方向上的拉伸应变的变化关系

图2.(a)不同磁构型(非磁、锯齿形反铁磁以及条纹形反铁磁)与铁磁构型的磁能量差随空穴载流子掺杂浓度变化的曲线关系;(b)体系的磁矩与空穴载流子掺杂浓度的变化关系

图3.(a)空穴掺杂的二维δ-SnO2体系的磁各向异性能和(b)铁磁转变温度与空穴载流子掺杂浓度的变化关系
上一篇: “纳米多晶金刚石”实现迄今最高强度
版权与免责声明:
(1) 凡本网注明"来源:颗粒在线"的所有作品,版权均属于颗粒在线,未经本网授权不得转载、摘编或利用其它方式使用上述作品。已获本网授权的作品,应在授权范围内使用,并注明"来源:颗粒在线"。违反上述声明者,本网将追究相关法律责任。
(2)本网凡注明"来源:xxx(非颗粒在线)"的作品,均转载自其它媒体,转载目的在于传递更多信息,并不代表本网赞同其观点和对其真实性负责,且不承担此类作品侵权行为的直接责任及连带责任。其他媒体、网站或个人从本网下载使用,必须保留本网注明的"稿件来源",并自负版权等法律责任。
(3)如涉及作品内容、版权等问题,请在作品发表之日起一周内与本网联系,否则视为放弃相关权利。