1895
2020-11-06
高压、低温和强磁场等极端条件在探索新材料揭示新物理现象方面发挥越来越重要的作用。研究材料在这些极端条件下的构效关系,能够揭示较多奇异且具有潜在应用价值的物理现象。中国科学院物理研究所/北京凝聚态物理国家研究中心极端条件物理重点实验室研究员靳常青团队长期研究新兴功能材料在综合极端条件下的构效关系,自主发展了基于金刚石对顶砧的能够达到百万大气压力、1.5 K低温和9 T强磁场的综合极端物性调控技术,并运用该技术在关联铁磁材料、超导及拓扑等新兴功能材料的构效关系研究上取得了系列重要研究成果。
量子自旋液体(Quantum Spin Liquid,QSL)是指由于强量子涨落导致自旋,即使在零温极限下也不形成磁有序的一种新的自旋量子态。它的基态不产生自发的对称性破缺,无确定序参量,超越朗道相变理论描述的物相范畴,代表一种新奇的量子物态(Nature 464 (2010) 199)。通常认为,QSL是非常规超导体的母体,经过适当的电子或空穴掺杂后,发生Mott相变,会变成超导(Science 235 (1987) 1196)。因此,开展量子自旋液体从绝缘体到金属的Mott相变研究,进而探索可能的超导电性,有利于进一步深化学界对量子自旋液体本征物性的理解和揭示非常规超导体的机理。早期研究集中在有机量子自旋液体候选材料(Phys. Rev. Lett. 95 (2005) 177001)上,但对于结构复杂的有机物来说,系统通常伴随强无序效应,这为研究Mott相变及超导行为的本征物性带来干扰。晶体结构相对简单的无机量子自旋液体材料更适合揭示本征物性,但由于能隙大,一直未实现金属化及超导。
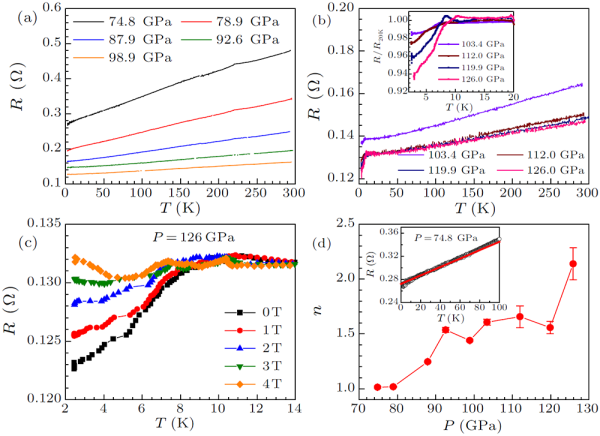
近期,物理所靳常青和副研究员于润泽指导博士贾雅婷,与中国人民大学物理系教授雷和畅团队、清华大学物理系教授张广铭合作,首次在无机量子自旋液体候选材料NaYbSe2中观察到压力诱导的Mott绝缘体金属化相变和超导电性。NaYbSe2是目前发现的所有QSL材料中结构最简单的、排除了有机QSL中的结构无序干扰效应、更易聚焦材料的本征物性(Chin. Phys. Lett. 35 (2018) 117501)。研究发现,NaYbSe2单晶材料从8 GPa到50 GPa一直保持绝缘属性,但电阻的数值下降了近8个数量级(图1a);在58.9 GPa左右高温区出现金属化迹象,低温区出现一个弱局域化区域,该区域随压力增加,逐渐向低温方向移动,且在75 GPa实现完全金属化(图1b);进一步增加压力,在103 GPa左右出现一个8 K左右的超导相,该超导转变温度随压力增加基本保持不变,直至测量的最大压力值126 GPa(图2)。此外,研究还发现金属态的低温区域出现从非费米液体行为到费米液体行为的转变。高压同步辐射衍射研究发现,在压力作用NaYbSe2在11 GPa左右发生从R-3mH到P-3m1的结构相变(图3)。
NaYbSe2属于稀土氧硫族大家族NaYbCh2(Re=Rare earth,Ch=O,S,Se),该材料体系成员多样,有利于探究量子自旋液体Mott相变及非常规超导机理;Yb3+含有4f电子,为进一步研究f电子材料的超导及可能的重费米子超导提供新平台。相关研究工作发表在Chin. Phys. Lett.上,研究工作得到科技部、国家自然科学基金委、中国人民大学科学研究基金等的支持。
论文链接:http://cpl.iphy.ac.cn/10.1088/0256-307X/37/9/097404

图1.NaYbSe2压力作用下从绝缘体到金属的转变。(a)NaYbSe2在49.6 GPa以下的电阻随温度变化的曲线。(b)NaYbSe2在58.9到70.4 GPa压力区间内电阻随温度变化的曲线,箭头所指表示出现弱局域化,插图是在66.1 GPa压力下电阻随温度的对数曲线。(c)NaYbSe2压致变色的光学照片,表明随压力增加其能隙逐渐减小

图2.压力诱发的NaYbSe2超导电性。(a)NaYbSe2在74.8到98.9 GPa压力区间内电阻随温度变化的曲线。(b)NaYbSe2在103.4到126 GPa压力区间内电阻随温度变化的曲线,电阻的突然降低表明出现了超导迹象。(c)126 GPa压力下超导转变温度随外磁场的变化,证实了超导属性。(d)R(T) = R0 + ATn公式拟合金属态得到的n值随压力的变化,表明随压力增加发生从非费米液体到费米液体行为的变化

图3.NaYbSe2的温度-压力(P-T)相图。其中WL,SC,QSL,FL和NFL分别代表弱局域化、超导电性、量子自旋液体、费米液体和非费米液体
上一篇: 物理所等高压制备出发光磁性半导体
版权与免责声明:
(1) 凡本网注明"来源:颗粒在线"的所有作品,版权均属于颗粒在线,未经本网授权不得转载、摘编或利用其它方式使用上述作品。已获本网授权的作品,应在授权范围内使用,并注明"来源:颗粒在线"。违反上述声明者,本网将追究相关法律责任。
(2)本网凡注明"来源:xxx(非颗粒在线)"的作品,均转载自其它媒体,转载目的在于传递更多信息,并不代表本网赞同其观点和对其真实性负责,且不承担此类作品侵权行为的直接责任及连带责任。其他媒体、网站或个人从本网下载使用,必须保留本网注明的"稿件来源",并自负版权等法律责任。
(3)如涉及作品内容、版权等问题,请在作品发表之日起一周内与本网联系,否则视为放弃相关权利。