1823
2020-10-22
振动的琴弦可持续很长时间,而某些材料在没有外部激励时会很快停止振动,两者的差异通常由材料内部的微观结构以及微观结构的耗散导致,物理上称之为“内耗”,即固体振动过程中的能量耗散,表征材料的阻尼性能。作为多晶材料重要的内耗源,晶界力学弛豫会引起内耗。
1947年,中国科学院院士葛庭燧首创可测量低频内耗的“葛式扭摆”,在多晶铝中发现晶界内耗峰(又称“葛式峰”),并用晶界粘滞性滑动模型给予解释,为“滞弹性”学科点定实验基础。此后,科研工作者们测量了许多多晶材料的内耗谱,但得到差异很大的实验结果,其中有的材料并不出现晶界内耗峰,有的材料则出现多个晶界内耗峰。基于晶界粘性滑动假设的已有理论难以解释这些实验现象。
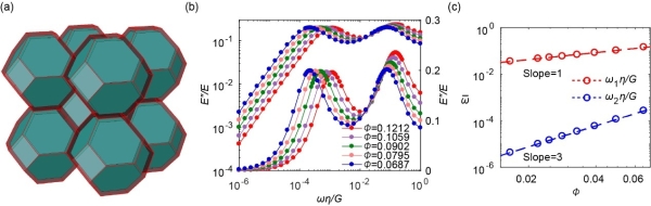
近期,中科院力学研究所非线性力学国家重点实验室从微观变形机理出发,就晶界中粘弹性蠕变与扩散耦合,发展了用于描述晶界中粘弹塑性变形的数值方法,以研究多晶体中晶界弛豫引起的内耗。通过建立三维多晶模型,研究团队计算了损耗模量频率谱,发现除晶界切向应力的弛豫会导致损耗谱上产生耗散峰外,晶界法向应力的弛豫也会引起耗散峰的出现。这一双峰弛豫临界频率与晶粒尺寸d 具有不同的幂律关系,其中低频峰临界频率正比于d ^-3,高频峰临界频率正比于 d ^-1。研究两个耗散峰存在条件,发现高频的“葛式峰”由晶界的粘滞性滑移引起,低频峰由晶界的法向弛豫导致。该工作有助于研究晶界内耗峰的物理机制,以及地震波在多孔介质以及颗粒材料传播过程中的衰减。
相关成果以Scaling of internal dissipation of polycrystalline solids on grain-size and frequency为题,发表在Acta Materialia上,博士研究生段闯闯为论文第一作者。研究得到国家自然科学基金委、中科院以及复杂系统力学卓越创新中心的支持。
论文链接:https://www.sciencedirect.com/science/article/pii/S135964542030793X?via%3Dihub

三维多晶的内耗峰尺寸效应:(a):Wigner-Seitz 模型。(b):不同晶界体积分数 Φ 下的多晶体的损耗模量频率谱。高频峰对应于“葛式峰”,由晶界的粘滞性滑动引起;低频峰是新发现的耗散峰,由晶界的法向弛豫引起;。(c):两个峰对应的临界频率值与晶界体积分数 Φ 的关系。晶界体积分数 Φ 与晶粒寸尺 d 成反比,低频峰临界频率正比于 d ^-3,高频峰临界频率正比于 d ^-1
版权与免责声明:
(1) 凡本网注明"来源:颗粒在线"的所有作品,版权均属于颗粒在线,未经本网授权不得转载、摘编或利用其它方式使用上述作品。已获本网授权的作品,应在授权范围内使用,并注明"来源:颗粒在线"。违反上述声明者,本网将追究相关法律责任。
(2)本网凡注明"来源:xxx(非颗粒在线)"的作品,均转载自其它媒体,转载目的在于传递更多信息,并不代表本网赞同其观点和对其真实性负责,且不承担此类作品侵权行为的直接责任及连带责任。其他媒体、网站或个人从本网下载使用,必须保留本网注明的"稿件来源",并自负版权等法律责任。
(3)如涉及作品内容、版权等问题,请在作品发表之日起一周内与本网联系,否则视为放弃相关权利。