1959
2020-10-17
近日,中国科学院合肥物质科学研究院固体物理研究所研究员张永胜课题组在理论计算和解释新型热电材料(Pyrite型ZnSe2)的物理机制研究中取得新进展。该研究通过求解声子和电子玻尔兹曼输运方程,理论计算发现Pyrite型ZnSe2具有良好的热电性质;基于对材料中原子成键情况和声子振动性质的分析,解释其具有低晶格热导率的物理机制。相关研究结果以Localized dimers drive strong anharmonicity and low lattice thermal conductivity in ZnSe2为题,发表在Physical Review B上。
理解高性能热电材料中的物理机制是寻找、设计和优化材料热电性质的基础。张永胜课题组已通过高通量方法发现Pyrite型ZnSe2是潜在高性能热电材料,并发现其是由广泛存在的廉价元素组成的立方晶体。然而,其中的物理机理并未得到详细的分析研究。利用更精确的理论计算方法验证该材料的良好热电性能并解释其中的物理机制,可以帮助拓展热电材料的种类并丰富现有的热电理论。
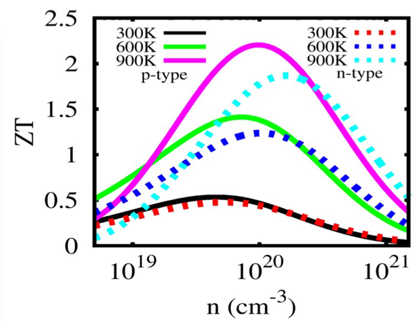
研究中,张永胜研究员课题组通过求解声子和电子玻尔兹曼输运方程的方法详细计算Pyrite型ZnSe2的热学和电学输运性质,并得到其在不同温度和载流子浓度下的热电性能。研究分析了Pyrite型ZnSe2中的原子成键情况和声子振动性质,发现材料中存在着强共价键结合的局域Se-Se二聚体,且该二聚体的存在可以使得ZnSe2中Zn原子具有类rattling原子的性质,从而导致由Zn原子绕Se-Se二聚体旋转所形成的低频光学声子具有非常强的非简谐效应,这种强的非简谐效应使该材料具有极低的晶格热导率。在电子结构方面,研究发现ZnSe2的价带顶和导带底都具有复杂的费米面,这使其具有良好的电学性能。ZnSe2具有的极低晶格热导率和良好电学输运性质,使其在p型和n型掺杂下,使决定热电材料性能的重要参数——热电优值最大可以分别达到2.21和1.87。该研究表明可以通过寻找含有类似二聚体或三聚体局域结构的材料作为潜在的新型高性能热电材料,为未来的实验和理论研究提供指导和参考。
研究工作得到国家自然科学基金的资助。
论文链接:https://journals.aps.org/prb/abstract/10.1103/PhysRevB.102.125204

图1.Pyrite型ZnSe2的晶体结构和Se-Se二聚体上的局域电荷分布情况

图2.ZnSe2在不同温度和载流子浓度下ZT值

图3.Zn原子绕Se-Se二聚体的旋转对低频光学声子的贡献情况
上一篇: 大连化物所构筑M29团簇模型催化剂
版权与免责声明:
(1) 凡本网注明"来源:颗粒在线"的所有作品,版权均属于颗粒在线,未经本网授权不得转载、摘编或利用其它方式使用上述作品。已获本网授权的作品,应在授权范围内使用,并注明"来源:颗粒在线"。违反上述声明者,本网将追究相关法律责任。
(2)本网凡注明"来源:xxx(非颗粒在线)"的作品,均转载自其它媒体,转载目的在于传递更多信息,并不代表本网赞同其观点和对其真实性负责,且不承担此类作品侵权行为的直接责任及连带责任。其他媒体、网站或个人从本网下载使用,必须保留本网注明的"稿件来源",并自负版权等法律责任。
(3)如涉及作品内容、版权等问题,请在作品发表之日起一周内与本网联系,否则视为放弃相关权利。