2180
2020-09-29
近日,大连化物所分子反应动力学国家重点实验室张东辉院士团队在超冷四原子反应的动力学计算中取得新进展,实现超冷四原子反应的精确截面计算。
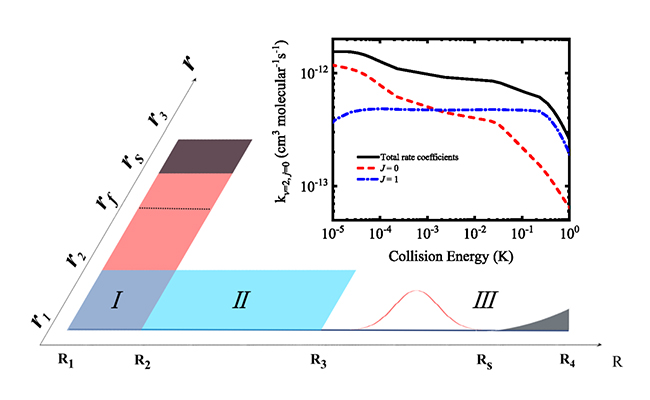
近年来,超冷(T<10-3K)分子的制备已经成为新的实验热点。在接近绝对零度的温度下,分子的德布罗意波长远大于相互作用的尺寸,量子效应会得到空前的增强,对超冷分子的研究对验证量子力学的基本理论有着重要意义。此外,由于超冷分子间的碰撞通常只涉及最低的相对轨道角动量分波,通过对超冷分子状态的精细调控,可以在高精度水平上探索化学反应的动力学和机理。自2010年美国科学院院士黛博拉·金(Deborah Jin)和叶军(Jun Ye)的联合实验小组观测到超冷的铷钾基态分子之间的化学反应(40K87Rb+40K87Rb→K2Rb2*→K2+Rb)以来,碱金属超冷分子—分子碰撞和化学反应的实验和理论研究取得了一系列重要进展。但由于通用的非含时量子动力学紧耦合(close coupling)方法的计算量随基函数的数目N呈N3增长,对这些超冷四原子反应的严格理论研究非常困难。

在此前的工作中(Phys. Rev. Lett. 2018, 120, 143401),该研究团队改进了原有的含时波包方法并将其应用于超冷反应性散射的计算中,对三原子F+H2反应的计算结果证明,含时波包法可以在Bethe-Wigner阈值区域以上的碰撞能范围内精确描述超冷反应性散射过程。近日,借助含时波包法在数值效率上的优势,该团队首次把含时波包动力学计算扩展到超冷四原子反应散射,并且给出了OH+H2(v=2,j=0)→H2O+H反应Bethe-Wigner阈值区域以上的精确积分截面和速率常数。计算结果不仅说明了含时波包计算可以在任意碰撞能下描述这一基准反应,而且证明了含时波包方法是研究超冷四原子反应的有力工具,未来可以用于更多实验相关超冷四原子反应的研究中。
相关研究成果发表在《物理化学快报》(The Journal of Physical Chemistry Letters)上。该工作得到了国家自然科学基金和中国科学院先导专项(B)“能源化学转化的本质与调控”的支持。(文/图 黄嘉宇、刘舒)
版权与免责声明:
(1) 凡本网注明"来源:颗粒在线"的所有作品,版权均属于颗粒在线,未经本网授权不得转载、摘编或利用其它方式使用上述作品。已获本网授权的作品,应在授权范围内使用,并注明"来源:颗粒在线"。违反上述声明者,本网将追究相关法律责任。
(2)本网凡注明"来源:xxx(非颗粒在线)"的作品,均转载自其它媒体,转载目的在于传递更多信息,并不代表本网赞同其观点和对其真实性负责,且不承担此类作品侵权行为的直接责任及连带责任。其他媒体、网站或个人从本网下载使用,必须保留本网注明的"稿件来源",并自负版权等法律责任。
(3)如涉及作品内容、版权等问题,请在作品发表之日起一周内与本网联系,否则视为放弃相关权利。