2201
2020-09-28
近年来,以CO2为工质的动力循环发电技术具有进一步提升热能利用效率和机组紧凑化水平的潜力,而引起关注,该技术在太阳热能与核能利用领域具有优势,可满足小空间供电的紧凑化设计。自2008年起,中国科学院力学研究所高效洁净燃烧课题组对该技术开展基础研究和关键技术研发。
依据实际应用领域和条件,相关研究可采用超临界CO2布雷顿循环和CO2跨临界动力循环两种基本循环形式,但均面临不足。对于超临界CO2布雷顿循环,由于近临界区物性对运行参数的强敏感性,其近临界大压比增压过程成为该循环技术的难点,主要体现为增压部件研发难、高效稳定运行难;对于CO2跨临界动力循环,由于CO2的临界温度仅为31℃,工程中常用的30℃左右的冷却水难以冷凝CO2并促成循环。针对CO2动力循环的特点和两种基本循环形式面临的实际问题,研究人员提出自冷凝CO2跨临界动力循环和CO2混合工质跨临界动力循环,为避免超临界CO2布雷顿循环的近临界大压比增压过程、解决CO2跨临界动力循环中亚临界CO2冷凝问题提供新思路。
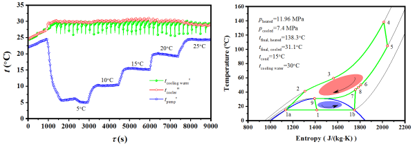
研究人员采用理论方法,探究自冷凝CO2跨临界动力循环的运行规律和优化方法;建立实验平台和采用实验方法,验证自冷凝CO2跨临界动力循环的可行性(2020,198:117335),实现CO2跨临界动力循环的30℃常规冷却水运行,也利于解决超临界CO2布雷顿循环近临界压缩问题。针对烷烃/CO2混合工质的可燃性问题,通过实验获得丁烷/CO2、异丁烷/CO2和丙烷/CO2等二元混合工质的燃烧特性,获得其可燃临界摩尔比分别为0.04/0.96、0.09/0.91和0.08/0.92。
相关研究已产生5项相关技术,并获得国家发明专利授权。研究工作得到国家自然科学基金、中科院仪器设备功能开发技术创新项目、力学所高温气体动力学国家重点实验室基本科研业务课题的资助。
图1.自冷凝CO2跨临界动力循环系统 图2.自冷凝CO2跨临界动力循环实验验证结果 图3.丁烷/CO2混合工质跨临界动力循环 图4.丁烷/CO2燃烧特性实验研究(火焰形态)



上一篇: 纳米药物在胰腺癌免疫治疗领域取得进展
下一篇: 新型g波超导体或被发现
版权与免责声明:
(1) 凡本网注明"来源:颗粒在线"的所有作品,版权均属于颗粒在线,未经本网授权不得转载、摘编或利用其它方式使用上述作品。已获本网授权的作品,应在授权范围内使用,并注明"来源:颗粒在线"。违反上述声明者,本网将追究相关法律责任。
(2)本网凡注明"来源:xxx(非颗粒在线)"的作品,均转载自其它媒体,转载目的在于传递更多信息,并不代表本网赞同其观点和对其真实性负责,且不承担此类作品侵权行为的直接责任及连带责任。其他媒体、网站或个人从本网下载使用,必须保留本网注明的"稿件来源",并自负版权等法律责任。
(3)如涉及作品内容、版权等问题,请在作品发表之日起一周内与本网联系,否则视为放弃相关权利。