1796
2020-09-18
近日,中国科学院合肥物质科学研究院等离子体物理研究所EAST团队在一类特殊的锯齿振荡期间观察到比压阿尔芬声波本征模(BAAE)。
在EAST超导托卡马克装置中,研究人员通过实验观察到模数为m=2/n=1双撕裂模(DTM)触发的一类特殊锯齿振荡(以下简称DTRC)。DTRC的振荡周期大于100ms,在振荡期间先后观察到了高能离子激发的比压阿尔芬本征模(BAEs)以及反剪切阿尔芬本征模(RSAE),并伴随着电子内部输运垒(ITB)的形成过程。当离子回旋共振加热(ICRH)的输出功率足够高时,DTRC振荡期间能够激发一类新的阿尔文本征模——BAAE,且与BAEs-SAEs共存。
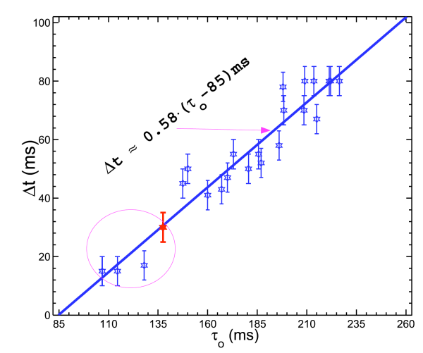
对BAAE的模特征结构和激发条件进行研究发现,BAAE和BAEs的径向结构相类似,BAAE在径向更靠外且径向范围更宽。随着最小安全因子qmin的减小(qmin<1),BAAE和RSAE的频率同步向上增大。此外,BAAE可以作为安全因子剖面的重要限制条件,当DTRC振荡周期大于某一阈值时,BAAE即可被激发。由于DTRC的振荡周期强烈依赖于ICRH的输出功率,因此DTRC的振荡周期为BAAE激发的一个重要的因素。qmin附近的电子温度的梯度随着DTRC的周期增大而增大,同时芯部区域的高能离子份额也随之增加。因此,BAAE由捕获高能离子通过环向进动共振激发。
BAAE现象是当前ITPA研究领域的一个重要分支,在EAST上开展的BAAE实验观察和研究进展,有助于推动国际磁约束聚变领域高能粒子的实验研究。
相关成果发表在Nuclear Fusion上。研究获得国家磁约束核聚变能发展研究专项、国家自然科学基金等项目的资助。
论文链接:BAAE BAEs-RSAEs(ITB)

EAST上DTRC振荡期间,BAAE,BAEs-RSAEs本征模的激发

BAAE存在时间和DTRC振荡周期的关系
版权与免责声明:
(1) 凡本网注明"来源:颗粒在线"的所有作品,版权均属于颗粒在线,未经本网授权不得转载、摘编或利用其它方式使用上述作品。已获本网授权的作品,应在授权范围内使用,并注明"来源:颗粒在线"。违反上述声明者,本网将追究相关法律责任。
(2)本网凡注明"来源:xxx(非颗粒在线)"的作品,均转载自其它媒体,转载目的在于传递更多信息,并不代表本网赞同其观点和对其真实性负责,且不承担此类作品侵权行为的直接责任及连带责任。其他媒体、网站或个人从本网下载使用,必须保留本网注明的"稿件来源",并自负版权等法律责任。
(3)如涉及作品内容、版权等问题,请在作品发表之日起一周内与本网联系,否则视为放弃相关权利。