4281
2022-03-29
颗粒在线讯:随着特定患者的个体需求不断增加,个性化药物在药物递送系统中已被高度期望用于有效和安全的治疗。4D打印作为一种新兴的药物胶囊开发技术,可以根据实际生理情况自主控制药物释放,显示出独特的优势。
近期,吉林大学张志辉、刘庆萍团队等人基于多材料的4D打印方法开发了一种核壳结构水凝胶胶囊,该胶囊以模型药物为核,PNIPAM水凝胶为壳。结果表明,该胶囊可以根据环境温度的变化自主控制药物释放行为,还能通过调整壳的厚度很好地调节药物释放行为。相关文章:4D printing of core–shell hydrogel capsules for smart controlled drug release发表在Bio-Design and Manufacturing上。

图形摘要
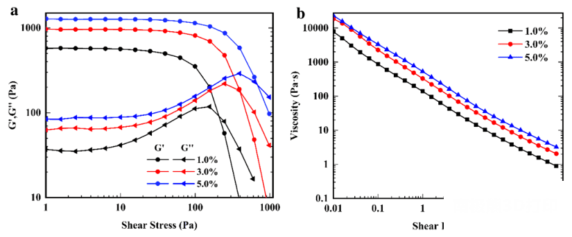
智能水凝胶胶囊由挤出式3D打印机制备,故油墨的流变特性是打印质量的重要影响因素。首先使用卡波姆作为流变改性剂,测定了不同卡波姆浓度下NIPAM油墨的流变行为。
如图1a所示,初始阶段油墨的储能模量G’大于损耗模量G’’,表明其处于稳定的凝胶状态,具有良好的弹性。另外,NIPAM油墨的粘度也是打印的关键因素。图1b描述了粘度与剪切速率的关系,油墨表现出明显的剪切变稀行为,符合可打印要求;且卡波姆浓度越高的油墨粘度越高,进一步比较了不同卡波姆浓度下油墨的挤出流畅性,确定了最佳卡波姆浓度1%(w/v)。

图1 不同卡波姆浓度的NIPAM油墨的流变特性
图2a展示了作者所用的多材料挤出式3D打印机的原理图。图2b为核壳结构4D打印水凝胶胶囊的示意图,其中核由模型药物组成,壳由PNIPAM水凝胶组成。图2c显示了UV光交联前后外壳厚度为2mm的水凝胶胶囊的形状变化。

图2 a自制挤出式3D打印机原理图;b打印水凝胶胶囊的示意图;c UV固化前(左)和后(右)的4D打印水凝胶胶囊样品照片
作为壳的PNIPAM是一种典型的热敏性聚合物,具有较低的临界溶液温度(LCST),可以在约32°C时发生快速的亲水-疏水转变。即不同温度下,PNIPAM水凝胶能表现出LCST诱导的收缩/膨胀特性,进而导致交联PNIPAM网络的形貌改变。图3所示为使用两种不同冻干工艺分别在22°C和42°C下水凝胶的内部微观结构,可以看出水凝胶呈蜂窝状结构且分布均匀,随温度升高内部孔径变得更加致密,说明其具有良好的温度敏感性。

图3 PNIPAM水凝胶的SEM图像
通过测定PNIPAM水凝胶在不同温度下的溶胀率以确定其热敏性。PNIPAM水凝胶在较低温度下比在较高温度下具有更高的溶胀率,而在较高温度下更早达到平衡溶胀状态,这些性质为实现4D打印水凝胶胶囊在不同温度刺激下的智能控制药物释放奠定了基础。

图4 温度对PNIPAM水凝胶溶胀性的影响
含有药物的常规PNIPAM水凝胶在高温下迅速收缩,导致药物快速、不可控地释放。相比之下,该研究开发的以PNIPAM水凝胶为囊壳的核壳水凝胶胶囊显示出根据环境温度自我控制药物释放行为的优势,并且还能通过调整壳厚度控制药物释放。
Ⅰ. 温度对药物释放的影响
如图5所示,在很宽的温度范围内(22°C~42°C)进行了壳厚为2mm的水凝胶胶囊的药物释放实验。12小时后,在相对较低的温度22°C和27°C下,超过80%的药物从水凝胶胶囊中释放,而在32°C、37°C和42°C下释放的药物比例分别约为77%、68%和60%。实验结果表明,高温引发了相对较低的药物释放行为,这是因为随着温度升高,水凝胶网逐渐收缩,水凝胶孔径逐渐减小,水和药物从胶囊向外释放的阻力增大,从而导致药物释放减慢。总而言之,温度是核壳水凝胶胶囊药物释放速率的“转换开关”,它可以在较高温度下减缓药物释放,在较低温度下促进药物释放。

图5 温度对药物释放的影响。a PNIPAM水凝胶外壳的温度响应示意图;b不同温度下2 mm厚水凝胶胶囊的模型药物释放曲线
Ⅱ. 壳厚对药物释放的影响
如图6所示,比较了22°C温度下不同壳厚(2mm、4mm、6mm)的水凝胶胶囊的药物释放情况。9小时后,约80%的药物从壳厚为2mm的水凝胶胶囊中释放,而壳厚为4mm和6mm的胶囊释放的药物量分别约为42%和11%。实验结果表明,随着壳厚增加,药物释放变慢。

图6 壳厚度对药物释放的影响。a 不同壳厚水凝胶胶囊的纵剖面示意图;b 22°C下不同壳厚水凝胶胶囊的模型药物释放曲线
上述体外药物释放曲线表明,PNIPAM水凝胶胶囊在不同温度下可以自我改变药物释放行为,并且可以通过设计胶囊的外壳厚度来控制药物释放。
实际情况中,为了治疗一种或多种疾病,患者可能需要多次服用一种药物或同时服用多种药物,为此作者设计了包含多种药物、不同剂量的“多效单胶囊”,展示了个性化定制药物的新概念。

图7 4D打印PNIPAM“多效单胶囊”水凝胶
文章来源:https://doi.org/10.1007/s42242-021-00175-y
版权与免责声明:
(1) 凡本网注明"来源:颗粒在线"的所有作品,版权均属于颗粒在线,未经本网授权不得转载、摘编或利用其它方式使用上述作品。已获本网授权的作品,应在授权范围内使用,并注明"来源:颗粒在线"。违反上述声明者,本网将追究相关法律责任。
(2)本网凡注明"来源:xxx(非颗粒在线)"的作品,均转载自其它媒体,转载目的在于传递更多信息,并不代表本网赞同其观点和对其真实性负责,且不承担此类作品侵权行为的直接责任及连带责任。其他媒体、网站或个人从本网下载使用,必须保留本网注明的"稿件来源",并自负版权等法律责任。
(3)如涉及作品内容、版权等问题,请在作品发表之日起一周内与本网联系,否则视为放弃相关权利。